Lexikon der Biochemie: Vitamin D
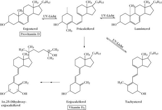
Vitamin D, Calciferol, antirachitisches Vitamin, eine Gruppe fettlöslicher Vitamine, die den Steroiden chemisch nahe stehen. Sie entstehen in der Haut aus Δ5,7-ungesättigten Sterinen, die als Provitamin dienen, durch Ultraviolettbestrahlung. Wenn ein Individuum in ausreichendem Maß dem Sonnenlicht ausgesetzt ist, ist eine Vitamin-D-Aufnahme mit der Nahrung nicht notwendig. Vitamin D stellt nur für diejenigen Menschen ein Vitamin dar, die sich nur im Haus aufhalten oder in höheren Breiten leben und eine stark pigmentierte Haut besitzen und aufgrund dessen keine ausreichende Menge an Vitamin D bilden können. Bei der Umwandlung des Sterins in Vitamin D wird der Ring B des Steroidgerüsts zwischen C9 und C10 aufgespalten und Präcalciferol gebildet (Abb.). Dieses dient als Vorstufe der Vitamin-D-Gruppe. Tachysterin und Lumisterin werden ebenfalls aus Präcalciferol gebildet.
Vitamin D2 (Ergocalciferol) leitet sich von Ergosterin ab, während Vitamin D3 (Cholecalciferol) aus 7-Dehydrocholesterin gebildet wird. Beide Umwandlungen laufen in der Haut unter Wirkung des Sonnenlichts ab. Vitamin D3 wird in der Leber bzw. Niere enzymatisch über 25-Hydroxycholecalciferol zum hochwirksamen 1α,25-Dihydroxycholecalciferol (1α,25-Dihydroxy-Vitamin D3) hydroxyliert, das die eigentliche Wirkform im menschlichen Organismus darstellt und Hormoncharakter hat. Vitamin D3 ist in besonders großen Mengen in Lebertran vorhanden. Der Vitamin-D-Komplex findet sich weiterhin z.B. in Hering, Eigelb, Butter, Käse, Milch, Schweineleber und Speisepilzen.
Vitamin D1 ist eine Molekülverbindung von Lumisterin und Ergocalciferol. Vitamin D4 ist 22-Dihydroergocalciferol, das durch UV-Bestrahlung von 22-Dihydroergosterin entsteht.
Vitamin D hat eine wichtige Funktion im Calciumstoffwechsel. Es fördert die Calciumresorption und die Mineralisation der Knochen. Vitamin-D-Mangel führt zu Rachitis. Überdosierung hat eine Hypervitaminose mit gestörtem Calcium- und Phosphatstoffwechsel und Entzug von Calcium aus den Knochen zur Folge. Für Menschen liegt der tägliche Bedarf an Vitamin D bei 0,1mg während des Wachstums und bei 0,02mg für Erwachsene.

Vitamin D. Biosynthese von Vitamin D2.
Wenn Sie inhaltliche Anmerkungen zu diesem Artikel haben, können Sie die Redaktion per E-Mail informieren. Wir lesen Ihre Zuschrift, bitten jedoch um Verständnis, dass wir nicht jede beantworten können.