Kompaktlexikon der Biologie: Abscisinsäure
Abscisinsäure, Abk. ABA, Pflanzenhormon, das für die Steuerung des Pflanzenwachstums und die Samenruhe verantwortlich ist. A. spielt zudem eine wichtige Rolle beim Wasserhaushalt der Pflanzen, indem es das Öffnen und Schließen der Spaltöffnungen reguliert. A. wurde erstmals als Substanz isoliert, mit der sich die Abscission von Baumwollfrüchten induzieren ließ. Trotz seiner Bezeichnung ist nicht A., sondern das Pflanzenhormon Ethylen für die Abscission hauptverantwortlich. A. ist jedoch in der Lage, die Produktion von Ethylen im Gewebe zu fördern.
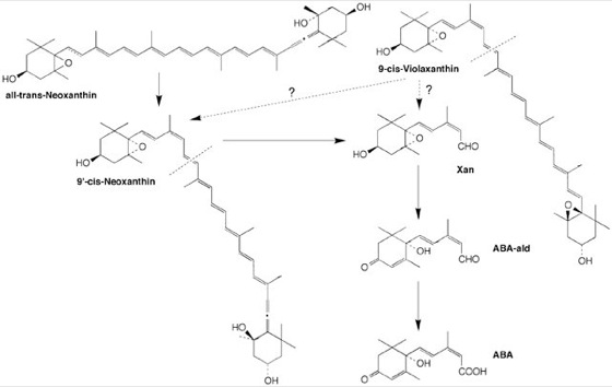
A. kommt bei allen Gefäßpflanzen in allen lebenden Geweben und größeren Organen vor und ist bei einer Reihe von Pilzgattungen nachgewiesen worden. Die Biosynthese von A. ( vgl. Abb. ) erfolgt in Chloroplasten oder anderen Plastiden. Chemisch gesehen handelt es sich bei dem C15-Körper A. ( vgl. Abb. ) um ein Sesquiterpen, das über den Terpenoidweg synthetisiert wird (Carotinoide). Dabei wird in einer Reihe von aufeinander folgenden Reaktionen das Xanthophyll Violaxanthin oxidativ gespalten. Die unmittelbare Vorstufe, das A.-Aldehyd, wird im Cytosol in A. umgewandelt. Einige Pilze sind in der Lage, A. direkt aus C15-Terpenoiden zu synthetisieren.
Die physiologische Aktivität von A. wird durch deren chemische Struktur vorgegeben. Natürlich vorkommende A. liegt fast ausschließlich in der cis-Form vor. Von den beiden möglichen chiralen Formen (Chiralität) ist die S-Form die natürliche, wohingegen die R-Form biologisch inaktiv ist. Die cytosolische Konzentration an A. wird nicht allein durch die Biosynthese gesteuert, sondern auch durch Transportprozesse, Kompartimentierung sowie Inaktivierung reguliert. Hierbei spielen Oxidations- und Konjugationsprozesse eine Rolle. Auf diese Weise sind kurzfristig große Konzentrationsschwankungen zu beobachten. Während der Samenentwicklung kann es innerhalb weniger Tage zu einem A.-Anstieg um den Faktor 100 kommen. Dürrestress führt dazu, dass innerhalb weniger Stunden der intrazelluläre A.-Spiegel um das 50fache ansteigen kann. Da höhere A.-Konzentrationen zu einem Schließen der Spaltöffnungen führen, ist A. an der Vermeidung von Wasserstress beteiligt (Welken). Die Wirkung von A. ist auf zellulärer und molekularer Ebene gut untersucht. A. löst intrazelluläre Signalketten aus, wobei Calcium und IP3 als second messenger fungieren. Im Falle des Schließens der Spaltöffnungen kommt es dabei zu einer vorübergehenden Depolarisierung der Zellmembran der Schließzellen. Dies hat ein Öffnen bestimmter Ionenkanäle und eine damit verbundene Abnahme des Turgors zur Folge. Auf molekularer Ebene ließ sich zeigen, dass die Promotoren einiger stressinduzierter Gene so genannte ABA-Response-Elemente besitzen, über die eine A.-induzierte Genexpression gesteuert wird.

Abscisinsäure

Abscisinsäure: Schema der Biosynthese von Abscisinsäure in höheren Pflanzen. Die Beteiligung von 9-cis-Violaxanthin ist bisher rein hypothetisch. ABA-ald = ABA-Aldehyd; Xan = Xanthosin
Wenn Sie inhaltliche Anmerkungen zu diesem Artikel haben, können Sie die Redaktion per E-Mail informieren. Wir lesen Ihre Zuschrift, bitten jedoch um Verständnis, dass wir nicht jede beantworten können.