Kompaktlexikon der Biologie: Cellulose
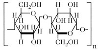
Cellulose, Zellulose, ein unverzweigtes pflanzliches Polysaccharid mit der Summenformel (C6H10O5)n, das aus β-1,4-glycosidisch verbundenen Glucoseeinheiten besteht ( vgl. Abb. ). C. bildet neben Hemicellulosen und Pektinen den Hauptbestandteil der Gerüstsubstanzen pflanzlicher Zellwände und des Mantels der Manteltiere (Tunicata). In der pflanzlichen Zellwand ist die C. in Mikrofibrillen angeordnet, in denen die Celluloseketten parallel verlaufen und durch Wasserstoffbrückenbindungen zwischen den Ketten stabilisiert werden. Die Biosynthese von C. geschieht durch schrittweisen Anbau von Glucoseresten aus UDP-Glucose. Der biologische Abbau wird durch Cellulasen katalysiert.
Die im Pflanzenreich weit verbreitete C. ist mengenmäßig der bedeutendste Naturstoff. Laubbäume und Nadelbäume bestehen zu etwa 50 % aus C. jährlich werden durch Pflanzen etwa 10 Billionen Tonnen C. synthetisiert. Der in Form von C. gebundene Kohlenstoff der Pflanzen entspricht etwa 50 % des in der gesamten Erdatmosphäre als Kohlenstoffdioxid (CO2) gebundenen Kohlenstoffs. C. hat große technische und wirtschaftliche Bedeutung. Baumwolle, Jute (Corchorus), Flachs (Lein) und Hanf sind fast reine Cellulose. Technisch wird C. vorwiegend aus Holz oder Stroh gewonnen und kommt als Zellstoff in den Handel, der von der Papier- und Textilindustrie verbraucht wird. In der Biochemie finden reine C. und chemisch modifizierte C. Verwendung als Adsorbens bei chromatographischen Trennverfahren (Sondertext Methoden: Trennverfahren).

Cellulose
Wenn Sie inhaltliche Anmerkungen zu diesem Artikel haben, können Sie die Redaktion per E-Mail informieren. Wir lesen Ihre Zuschrift, bitten jedoch um Verständnis, dass wir nicht jede beantworten können.