Direkt zum Inhalt

Kompaktlexikon der Biologie: Chondroitinsulfat

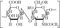
Chondroitinsulfat, aus alternierend 3-β-glykosidisch verknüpften Glucuronsäure- und N-Acetylgalactosamin-Resten aufgebautes, mit Schwefelsäure verestertes Polysaccharid, das aus 20 – 50 Disaccharid-Einheiten besteht ( vgl. Abb. ). C. kommt, kovalent an Proteine gebunden (Proteoglykane) in vielen menschlichen und tierischen Geweben und Organen vor und ist vor allem Hauptbestandteil des Knorpels.



Chondroitinsulfat: (R = H, R' = SO3H)

  • Die Autoren

Redaktion:
Dipl.-Biol. Elke Brechner (Projektleitung)
Dr. Barbara Dinkelaker
Dr. Daniel Dreesmann

Wissenschaftliche Fachberater:
Professor Dr. Helmut König, Institut für Mikrobiologie und Weinforschung, Johannes Gutenberg-Universität Mainz
Professor Dr. Siegbert Melzer, Institut für Pflanzenwissenschaften, ETH Zürich
Professor Dr. Walter Sudhaus, Institut für Zoologie, Freie Universität Berlin
Professor Dr. Wilfried Wichard, Institut für Biologie und ihre Didaktik, Universität zu Köln

Essayautoren:
Thomas Birus, Kulmbach (Der globale Mensch und seine Ernährung)
Dr. Daniel Dreesmann, Köln (Grün ist die Hoffnung - durch oder für Gentechpflanzen?)
Inke Drossé, Neubiberg (Tierquälerei in der Landwirtschaft)
Professor Manfred Dzieyk, Karlsruhe (Reproduktionsmedizin - Glück bringende Fortschritte oder unzulässige Eingriffe?)
Professor Dr. Gerhard Eisenbeis, Mainz (Lichtverschmutzung und ihre fatalen Folgen für Tiere)
Dr. Oliver Larbolette, Freiburg (Allergien auf dem Vormarsch)
Dr. Theres Lüthi, Zürich (Die Forschung an embryonalen Stammzellen)
Professor Dr. Wilfried Wichard, Köln (Bernsteinforschung)

Schreiben Sie uns!

Wenn Sie inhaltliche Anmerkungen zu diesem Artikel haben, können Sie die Redaktion per E-Mail informieren. Wir lesen Ihre Zuschrift, bitten jedoch um Verständnis, dass wir nicht jede beantworten können.

Partnerinhalte

Bitte erlauben Sie Javascript, um die volle Funktionalität von Spektrum.de zu erhalten.