Kompaktlexikon der Biologie: Cobalamin
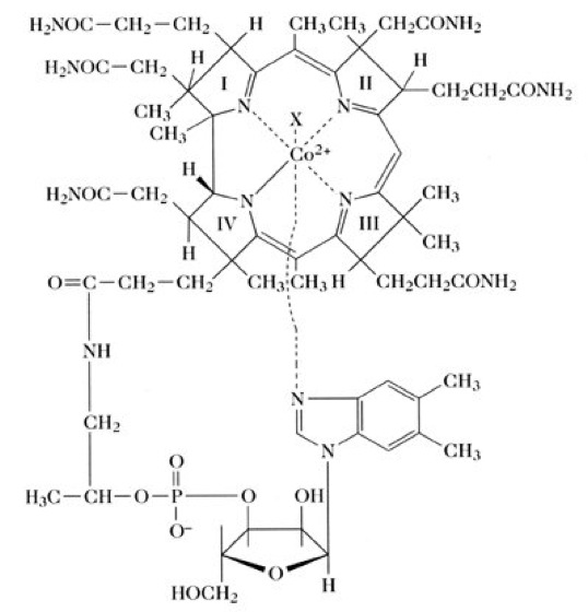
Cobalamin, Vitamin B12, Extrinsic factor, ein wasserlösliches Vitamin mit einem Ringsystem ähnlich dem des Häm, ( vgl. Abb. ) das als Corrin-Ringsystem bezeichnet wird. Zentralatom dieses Ringsystem ist ein zwei- oder dreiwertiges Kobaltatom. C. ist für die Wirksamkeit mehrerer Enzyme verantwortlich. Bei den betreffenden Reaktionen handelt es sich meist um Isomerisierungen (z.B. Glutamat ⇌ β-Methylaspartat und Methylmalonyl-CoA ⇌ Succinyl-CoA); außerdem wirkt C. als Coenzym u.a. bei der durch Thioredoxin katalysierten Reduktion von Ribonucleosiddiphosphaten zu den 2'-Desoxyribonucleosiddiphosphaten, bei der Übertragung von Methyl-(CH3-)Gruppen von N5-Tetrahydrofolsäure auf Homocystein zur Regeneration von Methionin, bei der Methylierung von tRNA sowie bei der Bildung von Methan durch Methanbakterien.
C. findet sich bevorzugt in tierischen Geweben, besonders in Leber sowie in Eigelb und Milch. Eine de-novo-Synthese von C. kann nur von bestimmten Mikroorganismen durchgeführt werden. In pflanzlicher Nahrung ist C. nur in äußerst geringer Menge vorhanden. Beim Menschen führt Mangel an C. zu perniziöser Anämie. (Intrinsic factor)

Cobalamin: Strukturformel des Cobalamins. X steht für eine an das Kobalt (Co) gebundene einwertige Gruppe (Kobaltligand); in biologischen Systemen können Kobaltliganden z.B. –OH, H2O, –CH3 und Desoxyadenosin sein
Wenn Sie inhaltliche Anmerkungen zu diesem Artikel haben, können Sie die Redaktion per E-Mail informieren. Wir lesen Ihre Zuschrift, bitten jedoch um Verständnis, dass wir nicht jede beantworten können.