Kompaktlexikon der Biologie: Harnstoffzyklus
Harnstoffzyklus, Arginin-Harnstoff-Zyklus, Ornithinzyklus, Krebs-Henseleit-Zyklus, ein bei Säugetieren u.a. ureotelischen Tieren vorkommender Stoffwechselkreislauf, über den Harnstoff aus Kohlenstoffdioxid, Ammoniak und dem α-Aminostickstoff von L-Asparaginsäure unter Verbrauch von ATP synthetisiert wird. Für die Synthese eines Moleküls Harnstoff oder L-Arginin werden drei Moleküle ATP benötigt und vier energiereiche Bindungen verbraucht. Die primäre Funktion des H. besteht darin, den als Abfall anfallenden Stickstoff in den nicht toxischen, wasserlöslichen Harnstoff zu überführen, der ausgeschieden werden kann. Der Zyklus dient jedoch auch – durch Übertragung der Amidingruppe auf Glycin – zur Bildung von L-Ornithin und Guanidinoacetat, dem Vorläufer von Kreatin. Eine weitere Funktion ist die Synthese der proteinogenen Aminosäure L-Arginin. Bei Tieren wird der H. durch die Synthese von L-Ornithin aufgefüllt. Diese erfolgt aus L-Glutamat oder in gewissem Ausmaß aus Abbauprodukten des L-Prolins. L-Ornithin und L-Arginin stehen über den H. miteinander im Gleichgewicht, sodass der H. auch durch L-Arginin aus der Nahrung bedient werden kann. Umgekehrt kann die Synthese von L-Ornithin und dessen Umwandlung in L-Arginin den ernährungsbedingten Bedarf an L-Arginin decken.
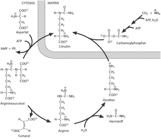
Der Hauptort des H. ist die Leber. Die Umwandlung von L-Ornithin in L-Citrullin sowie die Synthese von Carbamoylphosphat geschehen in der mitochondrialen Matrix, alle anderen Reaktionen laufen im Cytoplasma ab. Das Nierencytoplasma enthält zwar die Enzyme für die Überführung von L-Citrullin in L-Ornithin, jedoch fehlen den Nieren-Mitochondrien die notwendigen Enzyme zur Umwandlung von L-Ornithin in L-Citrullin und zur Synthese von Carbamoylphosphat. Ein Teil des L-Citrullins wird von der Leber zur Niere transportiert, wo es in L-Ornithin und Harnstoff umgewandelt wird. Der H. ist über folgende Reaktionsfolge mit dem Citratzyklus verbunden: Fumarat, das durch die Wirkung von Argininosuccinat-Lyase produziert wird, tritt in die Mitochondrien ein und wird im Citratzyklus in Oxalacetat umgewandelt. Mit Hilfe der Transaminierung von Oxalacetat zu Aspartat wird Abfallstickstoff in die Aminogruppe von Aspartat eingebaut. Dieses reicht den Stickstoff durch die Wirkung von Argininosuccinat-Synthase an den H. weiter. Eine dieser Reaktionen (Malat + NAD+ → Oxalacetat + NADH + H+) stellt über die oxidative Phosphorylierung eine Quelle für drei Moleküle ATP dar. Der Hauptteil des Ammoniaks, der bei der Synthese von Carbamoylphosphat verbraucht wird, stammt aus der oxidativen Desaminierung von L-Glutamat durch die L-Glutamat-Dehydrogenase: L-Glutamat + NAD+ + H2O → α-Ketoglutarat + NADH + H+ + NH3. Auch hier werden durch die Oxidation von NADH drei Moleküle ATP gebildet. Der Energiebedarf des H. wird demnach durch die Energieproduktion assoziierter Proteine nahezu gedeckt. (Ammoniumassimilation, Exkretion) ( vgl. Abb. )

Harnstoffzyklus: Reaktionsschema des Harnstoffzyklus, dessen Reaktionen z.T. im Cytoplasma (Cytosol) und z.T. in den Mitochondrien ablaufen
Wenn Sie inhaltliche Anmerkungen zu diesem Artikel haben, können Sie die Redaktion per E-Mail informieren. Wir lesen Ihre Zuschrift, bitten jedoch um Verständnis, dass wir nicht jede beantworten können.