Kompaktlexikon der Biologie: Tryptophan
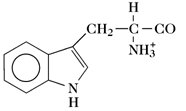
Tryptophan, Abk. Trp oder W, α-Amino-β-indolylpropionsäure, eine der 20 proteinogenen Aminosäuren. Aufgrund der β-Indolyl-Seitenkette zählt T. zu den aromatischen Aminosäuren ( vgl. Abb. ). Der menschliche Organismus kann T. nicht selbst aufbauen, weshalb es zu den essenziellen Aminosäuren gerechnet wird. Vorstufen zur Biosynthese des T. sind Erythrose-4-phosphat und Phosphoenolpyruvat, die in mehreren Stufen über Shikimisäure und Chorisminsäure zu Anthranilsäure umgewandelt werden. Diese reagiert mit 5-Phosphoribosyl-1-pyrophosphat zu Indolglycerin-3-phosphat, das im letzten Schritt, katalysiert durch das Enzym Tryptophan-Synthetase, mit Serin zu T. umgesetzt wird. Durch Abbau von T. entstehen mehrere stoffwechselphysiologisch wichtige Metaboliten. Eingeleitet wird der Abbau durch die Tryptophan-Pyrrolase-katalysierte, oxidative Spaltung zu Formyl-Kynurenin, das über Kynurenin, Hydroxykynurenin, 3-Hydroxyanthranilsäure und Chinolinsäure zu Nicotinsäure und NAD bzw. zu den Ommochromen umgewandelt werden kann. Ferner können aus Tryptophan das Tryptamin durch Decarboxylierung, das pflanzliche Hormon Indol-3-essigsäure (Auxine), Serotonin und Melatonin entstehen. T. ist in Nahrungsproteinen in relativ geringer Menge enthalten, besonders arm an T. sind Maisproteine.

Tryptophan
Wenn Sie inhaltliche Anmerkungen zu diesem Artikel haben, können Sie die Redaktion per E-Mail informieren. Wir lesen Ihre Zuschrift, bitten jedoch um Verständnis, dass wir nicht jede beantworten können.