Lexikon der Biologie: Abscisinsäure
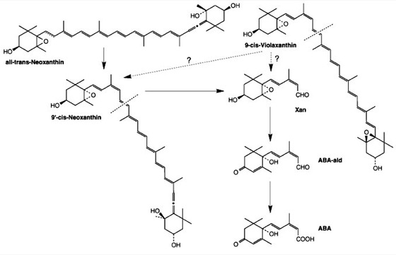
Abscisinsäure [von latein. abscisus = abgeschnitten], Abscisin, Dormin, Abk. ABA (von englisch abscisic acid), ein Phytohormon, das als Gegenspieler zu anderen Phytohormonen, wie den Auxinen, Gibberellinen und Cytokininen, wirkt (Strukturformel ä vgl. Abb. ). Abscisinsäure hemmt bei den verschiedensten Höheren Pflanzen das Wachstum und die Samenkeimung (Keimung), löst die Samenruhe aus und fördert den Blatt- und Fruchtfall. In der Pflanze erfüllt Abscisinsäure die Funktion eines Streßhormons, das in Reaktion auf verschiedene streßerzeugende Umweltfaktoren (Kälte, Trockenheit, Salzstreß) gebildet wird (Streßfaktoren bei Pflanzen, Streßresistenz bei Pflanzen). Nach Abklingen des streßerzeugenden Einflusses wird der erhöhte ABA-Pegel wieder abgesenkt. – Abscisinsäure ist eine Sesquiterpenverbindung (Sesquiterpene), deren Synthese vom Mevalonat (Mevalonsäure) ausgeht. Sie entsteht durch die Spaltung des Tetraterpengerüstes der Carotinoide. Die Synthese von Abscisinsäure (ävgl. Abb.) kann in vielen Teilen der Pflanze erfolgen, vor allem in Blättern, Wurzeln und reifenden Früchten. ABA wird von den Zellen in den Apoplasten (Apoplast) ausgeschieden und konnte sowohl im Xylemwasser als auch im Phloemsaft nachgewiesen werden. Besonders gut ist die Wirkung von Abscisinsäure bei Wasserstreß untersucht. Die Erhöhung der ABA-Konzentration in den Blättern führt durch die Aktivierung von Ionenkanälen und einen nachfolgenden Ausstrom von Wasser zu einem Turgorabfall (Turgor) in den Schließzellen des Spaltöffnungsapparats und somit zu einem Verschluß der Stomata (Spaltöffnungen), wodurch ein Wasserverlust durch Transpiration verhindert wird (Antitranspirantien). Weitere wichtige physiologische Wirkungen von Abscisinsäure sind: die Umstellung der CO2-Fixierung vom C3-Weg auf den C4-Weg der Photosynthese unter Einwirkung von Wasserstreß bei CAM-Pflanzen (diurnaler Säurerhythmus; C3-Pflanzen, C4-Pflanzen); die Förderung der Dormanz (Aufrechterhaltung von Ruhezuständen) in Samen (Samenruhe) und Knospen (Knospenruhe) und die Förderung des Blattfalls und Fruchtfalls (Abscission). Die genaue Funktion von Abscisinsäure bei der Abscission von Früchten und Blättern ist noch wenig geklärt, da hierbei neben Abscisinsäure auch andere Phytohormone, wie Cytokinine, IAA (Indol-3-essigsäure) und Ethylen, in erheblichem Umfang beteiligt sind. Außerdem löst Abscisinsäure nach neueren Erkenntnissen auch physiologische Vorgänge aus, die zu einer erhöhten Frostresistenz der Pflanzen beitragen. In Zellkulturen sind nach Gabe von ABA Anpassungsprozesse zu beobachten, wie sie auch nach Kältebehandlung eintreten (Änderungen im Kohlenhydratstoffwechsel). Sowohl bei frostempfindlichen als auch bei frosttoleranten Weizensorten (Weizen) läßt sich die Frostresistenz durch eine Behandlung mit ABA verbessern, während Kältebehandlung allein bei frostempfindlichen Sorten kaum eine Zunahme der pflanzlichen ABA sowie der Frosttoleranz zur Folge hat. Dies bedeutet, daß bei der Züchtung kälteresistenter Kulturpflanzen der natürliche Hormonspiegel als Auswahlkriterium genutzt werden könnte. – Der durch Abscisinsäure ausgelöste Signalweg wurde für die Hemmung der Samenkeimung teilweise aufgeklärt. Hier tritt Abscisinsäure als hemmender Antagonist zum Gibberellin auf. Gibberellin induziert in der Aleuronschicht (Aleuron) von Getreidesamen die Synthese von α-Amylase (Amylasen), die Stärke zu Zucker umsetzt und so den Keimling mit Nährstoffen versorgt. Durch Mikroinjektion in Aleuronzellen konnte gezeigt werden, daß der ABA-Rezeptor in der Plasmamembran sitzt. Die Bindung an den Rezeptor setzt zwei über G-Proteine vermittelte Signalwege in Gang ( ä vgl. Abb. ). Der eine Signalweg schaltet über eine Tyrosinkinase eine MAP-Kinase-Kaskade (MAP-Kinase) in Gang. Diese Kaskade mündet in der Synthese oder Aktivierung des Transkriptionsfaktors viviparous 1. Das viviparous-1-Gen wurde aus einer Vivipariemutanten von Mais kloniert. Bei dieser Mutante keimen die Samen noch auf der Mutterpflanze aus (Viviparie). Diese Mutante läßt sich nicht durch die Gabe exogener Abscisinsäure heilen, betrifft also nicht die Synthese von Abscisinsäure, sondern einen Schritt der Hormonantwort. Das viviparous-1-Protein bindet an sog. ABA-responsive-Elemente im Promotor von ABA-induzierten Genen und schaltet sie dadurch an (z. B. die Gene Em oder rab). Es bindet aber auch an Promotoren von Gibberellin-induzierbaren Genen und bewirkt dort eine Abschaltung (z. B. bei der α-Amylase). Der zweite vom ABA-Rezeptor angestoßene Signalweg führt über den IP3-Signalweg (IP3) und Diacylglycerol zu einer Absenkung des cytoplasmatischen Calciumspiegels und hemmt dadurch die Gibberellinwirkung (Gibberellin induziert das α-Amylase-Gen über eine Erhöhung des Calciumspiegels). Die antagonistische Wechselwirkung von ABA und Gibberellin findet also auf zwei Ebenen statt. Kälteinduzierte Gene zeigen zusätzlich zu den ABA-responsive-Promotorelementen noch weitere Sequenzmotive auf. Die von Abscisinsäure ausgelöste Streßreaktion ist also vermutlich nur ein Pfad in einem Netzwerk paralleler Signalwege. Jasmonat-induzierte Proteine.
T.S./P.N.
Lit.: Addicott, F.T. (ed.): Abscisic acid. New York 1983.
| |
Abscisinsäure |



Wenn Sie inhaltliche Anmerkungen zu diesem Artikel haben, können Sie die Redaktion per E-Mail informieren. Wir lesen Ihre Zuschrift, bitten jedoch um Verständnis, dass wir nicht jede beantworten können.