Lexikon der Biologie: Chlorophylle
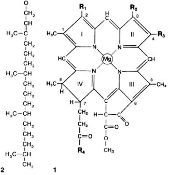
Chlorophylle [von *chloro –, griech. phyllon = Blatt], Blattgrün, die grünen, in isolierter Form rötlich fluoreszierenden Farbstoffe (Pflanzenfarbstoffe, Blattfarbstoffe) der grünen Pflanzen und photosynthetisierenden Algen und bestimmter Bakterien (Bakteriochlorophylle). Chlorophylle leiten sich vom Porphyringerüst (Porphyrine) ab ( vgl. Abb.vgl. Tab. ) die Struktur der Chlorophylle a, b, c1, c2 und d ablesen. Alle "echten" Chlorophylle außer c1 und c2 – deren Struktur erst in den letzten Jahren aufgeklärt werden konnte – weisen den charakteristischen Phytolrest (2) auf. Die unterschiedliche Lichtabsorption der Chlorophylle (Absorptionsspektren: Bakteriochlorophylle) ist durch verschiedene Seitenketten, Verschiedenheiten einzelner Bindungen (gesättigt, ungesättigt) sowie verschiedenartige Veresterungen und Bindungen an Proteine bedingt. Die Lichtabsorption der "echten" Chlorophylle liegt hauptsächlich im blauen und roten Spektralbereich; die Bakteriochlorophylle absorbieren auch im nahen Infrarot.
) und sind daher strukturell eng verwandt mit dem Hämin (Häm) der Hämoglobine, Myoglobine und Cytochrome. Im Gegensatz zu diesen weisen sie, komplexiert im Zentrum des Tetrapyrrolsystems, Mg2+ (statt Fe2+ wie beim Häm), einen zusätzlichen, die Position 6 flankierenden Fünfring (Pentanonring) und zusätzliche Wasserstoffatome in den Positionen 7 und 8 auf. Auch die lange, lipophile Phytol-Seitengruppe (bzw. Farnesyl-Seitengruppe bei manchen Bakteriochlorophyllen) und deren Veresterung durch eine in Position 7 verankerte Propionsäure-Gruppe sind charakteristisch für Chlorophylle. Die verschiedenen Chlorophylle a, b, c1, c2, d ( vgl. Tab. ) und die Bakteriochlorophylle a, b, c, d, e unterscheiden sich durch Abwandlungen der Seitengruppen des Ringgerüsts. – Mit Hilfe von Chlorophyllen wird die Lichtenergie des Sonnen-Lichts absorbiert (Absorption), um im Rahmen der Reaktionen der Photosynthese in die chemische und für Stoffwechselreaktionen (Stoffwechsel) allgemein verwertbare Energie von ATP (Adenosintriphosphat) und in Reduktionsäquivalente (Redoxreaktionen) von NADPH (Nicotinamidadenindinucleotidphosphat) umgewandelt zu werden. Chlorophylle nehmen daher eine Schlüsselstellung bei der Photosynthese und damit auch bei der Assimilation von CO2 (Kohlendioxid, Kohlendioxidassimilation) durch die grünen Pflanzen und Algen ein. In Höheren Pflanzen sind Chlorophylle zusammen mit Chlorophyll-bindenden Proteinen, Carotinoiden und zum Teil anderen Farbstoffen im inneren Membransystem (Thylakoide) der Chloroplasten lokalisiert. Die Verankerung in der Membrandoppelschicht der Thylakoide (Thylakoidmembran) erfolgt durch den lipophilen Phytol-Rest (Phytol). Bei den prokaryotischen phototrophen Bakterien und Cyanobakterien sind Chlorophylle (wiederum zusammen mit den Chlorophyll-bindenden Proteinen und den übrigen Pigmenten des Photosyntheseapparats) meist in intracytoplasmatischen Membranen (Thylakoide, Chromatophoren) eingelagert. Jeweils mehrere Hundert von Chlorophyll-Molekülen sind in den Thylakoidmembranen der Chloroplasten mit Hilfe bestimmter Proteine und zusammen mit Carotinoidenund Phycobilinen (Antennenpigmente, Phycobiliproteine) zu sog. Antennenkomplexen vereinigt, deren Funktion in der Absorption von Lichtquanten und deren Weiterleitung zu den i. e. S. photosynthetisch aktiven Chlorophyll-Molekülen, den Chlorophyllen der sog. Reaktionszentren, besteht (Farbtafel Photosynthese II). In den Reaktionszentren sind die Chlorophylle im Unterschied zu den übrigen Chlorophyll-Molekülen mit jeweils einem Elektronenakzeptor und einem Elektronendonor assoziiert. Die Komplexe zwischen Chlorophyllen, Elektronendonor und -akzeptor bezeichnet man als Photosysteme. – Die Synthese von Chlorophyllen erfolgt ausgehend von Protoporphyrin IX (Porphyrine) unter Bindung von Mg2+ (Magnesium) zum Mg-ProtoporphyrinIX, Transmethylierung (durch S-Adenosylmethionin) und Bildung des Cyclopentanonrings zu Protochlorophyllid a, Bindung an Protein zu Protochlorophyllid-Holochrom, gefolgt von der lichtabhängigen Hydrierung der 7,8-Positionen zu Chlorophyllid a und schließlich Ester-Bildung der Propionsäureseitengruppe mit Phytol zum Chlorophyll a. Die Umwandlungsschritte von Chlorophyll a zu den übrigen Chlorophyllen laufen strukturgebunden in der Thylakoidmembran ab. Der Abbau von Chlorophyllen wird durch hydrolytische Spaltung (Hydrolyse) der Phytolestergruppierung zu Chlorophyllid a und Phytol (Umkehr des letzten Syntheseschritts) unter der katalytischen Wirkung des Enzyms Chlorophyllase eingeleitet (Blattfall, Herbstfärbung). – Bedeutende Beiträge zur Erforschung der Chlorophylle leisteten u. a. J.J. von Berzelius, J.B. Caventou, H. Fischer, E.F.I. Hoppe-Seyler, P.J. Pelletier, N. Pringsheim, J. Sachs, M.S. Tswet, R. Willstätter, R.B. Woodward. Chlorophylline, Chlorophyllmethode, Phäophytine, Photorezeptoren, Photosynthese; Photosynthese I.
H.K./J.I.
|

Wenn Sie inhaltliche Anmerkungen zu diesem Artikel haben, können Sie die Redaktion per E-Mail informieren. Wir lesen Ihre Zuschrift, bitten jedoch um Verständnis, dass wir nicht jede beantworten können.