Lexikon der Biologie: Cobalamin
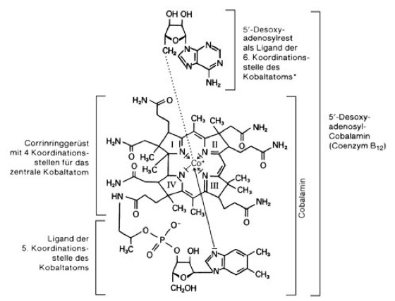
Cobalamins, Extrinsic factor, Antiperniziosafaktor, das Vitamin B12, wasserlösliches Vitamin mit einem Ringgerüst ähnlich dem des Häm (Cytochrome), jedoch sind u. a. zwei der vier Pyrrol-Ringe (Pyrrol) direkt ohne Methingruppen verknüpft ( vgl. Abb. ). Dieses Corrin-Ringsystem komplexiert über die Stickstoffatome der vier Pyrrol-Ringe im Inneren ein meist zwei- oder dreiwertiges Kobaltatom (Kobalt) und besitzt mehrere Substituenten an seinen Außenpositionen. Die am Pyrrol-Ring IV verankerte Propionsäure-Seitenkette (Propionsäure) ist über eine Propanolamidbrücke mit dem Pseudonucleotid 5,6-Dimethylbenzimidazolribonucleotid verknüpft, das die fünfte Koordinationsstelle des Kobaltatoms besetzt. Als sechster Ligand, durch den sich die einzelnen Formen der Cobalamine unterscheiden, werden u. a. die Gruppen –CN (im Cyanocobalamin, einem als Präparationsartefakt identifizierten Cobalamin), –OH, –CH3(Methylcobalamin) und 5´-Desoxyadenosin (5´-Desoxyadenosylcobalamin = Coenzym B12) gefunden. Das Coenzym B12 kann aufgrund der Co-C-Koordinationsbindung als eine Art metallorganischer Verbindung angesehen werden und ist in dieser Form für die Wirksamkeit verschiedener Enzyme verantwortlich. Bei den betreffenden Reaktionen handelt es sich meistens um Isomerisierungen durch gegenläufige 1,2-Verschiebungen (z. B. Glutamat ![]()
β-Methylaspartat, Methylmalonyl-CoA ![]()
Succinyl-CoA) benachbarter Gruppen, wobei intermediär wahrscheinlich ein Hydridion an eine Koordinationsstelle des Kobalts gebunden ist. Auch die anderen Formen des Cobalamins sind an einer Reihe enzymatischer Reaktionen als Coenzyme beteiligt. Sie wirken als Coenzyme a) bei der durch Thioredoxin katalysierten Reduktion von Ribonucleosiddiphosphaten zu den 2´-Desoxyribonucleosiddiphosphaten, b) bei der Übertragung von CH3-Gruppen von N5-Tetrahydrofolsäure auf Homocystein zur Regeneration von Methionin, c) bei der Methylierung von tRNA, d) bei der Bildung von Methan durch Methanbakterien (methanbildende Bakterien). Bei b), c) und d) ist Methyl-Cobalamin (6. Koordinationsstelle des Kobalts durch eine Methylgruppe besetzt) als Reaktionspartner oder Zwischenprodukt an den Umsetzungen beteiligt. – Cobalamin findet sich bevorzugt in tierischen Geweben, besonders in der Leber sowie in Eigelb (Ei) und Milch ( vgl. Tab. ). Eine de-novo-Synthese von Cobalamin kann jedoch nur von bestimmten Mikroorganismen durchgeführt werden. In pflanzlichen Produkten ist Cobalamin in so geringen Mengen vorhanden, daß einseitige pflanzliche Nahrung bei vielen Tieren aufgrund von Vitamin-B12-Mangel Wachstumsstörungen zur Folge hat. Beim Menschen führt Cobalaminmangel zu perniziöser Anämie, die jedoch durch die selbst für Vitamine sehr geringe Tagesdosis von 5 μg behoben wird; Cobalamin gehört somit zu den biologisch aktivsten Substanzen. Es wird vermutet, daß die der perniziösen Anämie zugrundeliegende Beeinträchtigung der Bildung roter Blutkörperchen (Erythrocyten) durch den Mangel an Desoxyribonucleotiden (Ausfall der Ribonucleotidreduktion in Abwesenheit von Cobalamin) und die dadurch ungenügende DNA-Synthese in den Vorläuferzellen der Erythrocyten (Blutbildung) bedingt ist. Die eigentliche Ursache von Cobalamin-Mangelerscheinungen beim Menschen ist in den meisten Fällen jedoch nicht auf einen absoluten Mangel an Cobalamin zurückzuführen, sondern auf ein Fehlen des Intrinsic factors, eines von den Fundusdrüsen des Magens und im oberen Abschnitt des Zwölffingerdarms gebildeten neuraminsäurehaltigen Glykoproteins. Dieses Aufnahmeprotein bildet normalerweise mit Cobalamin einen vor Verdauungsenzymen (Verdauung) schützenden Komplex, der im unteren Teil des Dünndarms resorbiert werden kann. Cobamid-Coenzyme, Folkers (K.A.), Hodgkin (D.M.), Hydrobyrinsäure, Hydroxocobalamin, Todd (A.R.), Woodward (R.B.); Vitamine.
E.G./H.K.
Cobalamin
Vitamin B12-Gehalte ausgewählter Lebensmittel (in 100 g eßbarem Anteil)
Verluste bei Verarbeitung: bis 30%
| ||
| Fleisch, Fisch, Eier Rinderleber | 65 | |
| Kalbsleber | 60 | |
| Hering (Ostseehering) | 11 | |
| Makrele | 9 | |
| Köhler (Seelachs) | 4 | |
| Hühnerei (Gesamtinhalt) | 2 | |
| Milch, Milchprodukte, Käse Camembert (50% Fett) | 3 | |
| Hüttenkäse, Mozzarella, Schichtkäse (20% Fett), Emmentaler (45% Fett), Edamer (40% Fett), Tilsiter (45% Fett), Fetakäse (45% Fett) | 2 | |
| Speisequark (20% Fett) | 1 | |
| Kuhmilch (3,5% Fett) | 0,42 |
hoher Vitamin B12-Gehalt:
50–500 μg/100 g
mittlerer Vitamin B12-Gehalt:
5–50 μg/100 g
niedriger Vitamin B12-Gehalt:
0,5–5 μg/100 g

Wenn Sie inhaltliche Anmerkungen zu diesem Artikel haben, können Sie die Redaktion per E-Mail informieren. Wir lesen Ihre Zuschrift, bitten jedoch um Verständnis, dass wir nicht jede beantworten können.