Lexikon der Chemie: Amatoxine
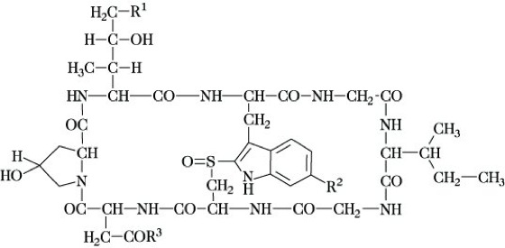
Amatoxine, verbrückte heterodet cyclische Octapeptide, die neben den Phallotoxinen die wichtigsten Giftstoffe des grünen Knollenblätterpilzes (Amanita phalloides) sind, aber auch in anderen Amanita-Arten sowie in Lepiota und Galerinapilzen vorkommen. Die A., zu denen α-, β- und γ-Amanitin und das Amanin neben 5 weiteren natürlich vorkommenden A. gehören (Tab.), kommen in hoher Konzentration (0,2 bis 0,4 mg/g Frischgewicht) im grünen Knollenblätterpilz vor. A. hemmen schon in einer Konzentration von 10-8 M die DNS-abhängige RNS-Polymerase, wodurch es 2 bis 3 Tage nach Giftaufnahme zum Absterben eines großen Teils der Leberzellen kommt. Über 90 % der tödlichen Pilzvergiftungen sind auf die A. zurückzuführen. Strukturaufklärung und Synthese der A. wurden von Th. Wieland und Mitarbeitern beschrieben.

Amatoxine. Tab.: Wichtige Beispiele.
| ||||
| α-Amanitin | -OH | -OH | -NH2 | |
| β-Amanitin | -OH | -OH | -OH | |
| γ-Amanitin | -H | -OH | -NH2 | |
| Amanin | -OH | -H | -OH |
Wenn Sie inhaltliche Anmerkungen zu diesem Artikel haben, können Sie die Redaktion per E-Mail informieren. Wir lesen Ihre Zuschrift, bitten jedoch um Verständnis, dass wir nicht jede beantworten können.