Lexikon der Chemie: Anthraglycoside
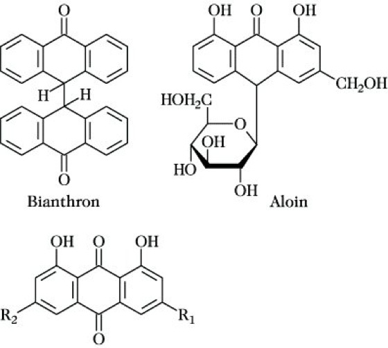
Anthraglycoside, glycosidisch mit Zuckerresten verbundene hydroxylierte Derivate des Anthrachinons und seiner partiell reduzierten Verbindungen, wie Anthranole, Anthrone und Bianthrone. Die wichtigsten Aglykone vom Anthrachinontyp, die als Emodine bezeichnet werden, sind Rhein, Aloe-Emodin, Chrysophanol und Frangula-Emodin. Entsprechend substituierte Aglykone sind auch vom Anthron- und vom Bianthrontyp bekannt, wobei bei den Verbindungen vom dimeren Bianthrontyp zwei gleiche oder zwei verschiedene Substitutionsmuster in einem Molekül vorliegen können.
Die wichtigsten A. enthaltenden Drogen sind Rhabarber, die unterirdischen Teile bestimmter Rheum-Arten, weiterhin Faulbaumrinde, Sennesblätter und verschiedene Aloe-Arten. Rhabarber enthält die o. g. Aglykone in der Anthrachinon-, Anthron- und Bianthronform hauptsächlich als Glucoside. Faulbaumrinde enthält hauptsächlich Bianthronglycoside vom Frangula-Emodin-Typ, die schlecht verträglich sind und bei einjähriger Lagerung durch Oxidation in Verbindungen vom Anthrachinontyp übergehen. Hauptinhaltsstoffe der Sennesblätter sind Sennosid A und B. Sennosid A ist die (+)-Form und Sennosid B die meso-Form mit unterschiedlicher Konfiguration am C-9- und C-9'-Atom. Wichtigster Inhaltsstoff von Aloe ist die Aloin genannte 10-C-Glucopyranosyl-Verbindung des Aloe-Emodins.
A. sind Laxanzien.


Wenn Sie inhaltliche Anmerkungen zu diesem Artikel haben, können Sie die Redaktion per E-Mail informieren. Wir lesen Ihre Zuschrift, bitten jedoch um Verständnis, dass wir nicht jede beantworten können.