Lexikon der Chemie: Biotin
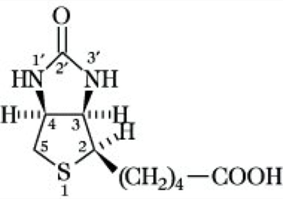
Biotin, Vitamin H, ein stickstoff- und schwefelhaltiges, wasserlösliches Vitamin. B. bildet nadelförmige Kristalle; F. 232 bis 233 °C, [α]D21 +91° (0,1 N NaOH). Es ist in organischen Lösungsmitteln praktisch unlöslich. B. ist in geringen Mengen in allen Zellen enthalten. Zu den biotinreichsten Quellen gehört die Leber, die etwa 0,00025 % enthält. Die Bestimmung des B. erfolgt aufgrund der sehr geringen Konzentration in biologischen Materialien mikrobiologisch. B. ist für Mikroorganismen ein Wuchsstoff. Biotinmangel erzeugt beim Menschen Hautveränderungen, die sich insbesondere in einer vermehrten Talgproduktion äußern. Ein solcher Mangel kann durch reichliche Aufnahme von rohen Eiern zustande kommen. Im Eiweiß ist das Protein Avidin enthalten, das B. spezifisch bindet. B. wirkt als Coenzym von Enzymen, die Kohlendioxid übertragen. Zu den biotinabhängigen Enzymen gehören Kohlendioxidligasen und Carboxyltransferasen. B. ist mit seiner Carboxygruppe amidartig an die ε-Aminogruppe eines Lysinrestes des Apoenzyms gebunden. Das ε-N-Biotinyllysin wird als Biocytin bezeichnet. Kohlendioxid ist am N-Atom 1 des B. als Carboxybiotin, das als "aktives CO2" bezeichnet wird, gebunden.

Wenn Sie inhaltliche Anmerkungen zu diesem Artikel haben, können Sie die Redaktion per E-Mail informieren. Wir lesen Ihre Zuschrift, bitten jedoch um Verständnis, dass wir nicht jede beantworten können.