Lexikon der Chemie: Carbene
Carbene, ungeladene Spezies, in denen ein C-Atom zwei kovalent gebundene Substituenten trägt und über zwei nichtbindende Orbitale verfügt, die mit insgesamt 2 Elektronen besetzt sind. C. sind reaktive Zwischenstufen bei organisch-chemischen Reaktionen, die spektroskopisch nachweisbar sind. Man unterscheidet Singulett-C. und Triplett-C. In Singulett-C. haben beide Elektronen antiparalle Spinmomente; sie haben einerseits wie Carbenium-Ionen eine Elektronenlücke, andererseits verhalten sie sich wie Carbanionen mit einem nichtbindenden Elektronenpaar. Singulett-C. verhalten sich in der Regel elektrophil und addieren stereospezifisch an Alkene unter Bildung von Cyclopropanderivaten:

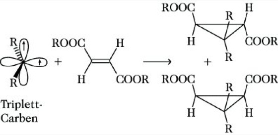
Triplett-C. verhalten sich formal wie Diradikale und addieren stereounspezifisch an Alkene:
Der Grundzustand von Methylen ist ein gewinkelter Triplettzustand. Die Singulettzustände sind um 38 kJ mol-1 energiereicher. Präparativ besonders leicht lassen sich Dichlorcarbene (Singulettcarbene mit gewinkelter Struktur), z. B. aus Chloroform und starken Basen, erhalten, wobei sich die Methode der Phasentransferkatalyse bewährt hat:
CHCl3 + OH- → CCl3- + H2O
CCl3- → Cl2C: + Cl-
So wird z. B. Cyclohexen mit Chloroform und wäßriger Natronlauge in Gegenwart eines quartären Ammoniumsalzes in guten Ausbeuten zu 7,7-Dichlorbicyclo[4.1.0]heptan umgesetzt:

Eine wichtige Rolle spielen C. bei der Wolff-Umlagerung, der Arndt-Eistert-Synthese oder der Simmons-Smith-Reaktion.

Wenn Sie inhaltliche Anmerkungen zu diesem Artikel haben, können Sie die Redaktion per E-Mail informieren. Wir lesen Ihre Zuschrift, bitten jedoch um Verständnis, dass wir nicht jede beantworten können.