Lexikon der Chemie: Carbenium-Immonium-Ion
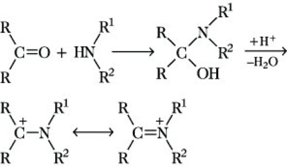
Carbenium-Immonium-Ion, instabiler, reaktionsfähiger Zwischenstoff bei der Reaktion von Carbonylverbindungen mit Ammoniak, primären und sekundären Aminen, Hydroxylamin, Hydrazinen oder Semicarbazid:

Die C. werden unter Abspaltung eines Protons stabilisiert, bei der Reaktion mit Ammoniak zu Aldiminen (R1, R2 = H), mit primären Aminen zu Schiffschen Basen (R1 = H), mit sekundären Aminen zu Enaminen, mit Hydroxylamin zu Hydrazonen (R1 = H, R2 = NH2) und mit Semicarbazid zu Semicarbazonen (R1 = H, R2 = NHCONH2). Bei der Reaktion des Benzaldehyds und des Formaldehyds mit sekundären Aminen stabilisiert sich das C. durch Addition eines zweiten Moleküls Amin unter Bildung von Aminalen. C. treten als Intermediate bei der Mannich-Reaktion und bei der Ugi-Reaktion auf.
Wenn Sie inhaltliche Anmerkungen zu diesem Artikel haben, können Sie die Redaktion per E-Mail informieren. Wir lesen Ihre Zuschrift, bitten jedoch um Verständnis, dass wir nicht jede beantworten können.