Lexikon der Chemie: HMG-CoA-Reductasehemmer
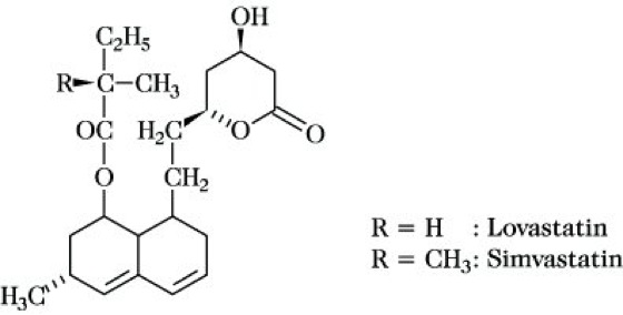
HMG-CoA-Reductasehemmer, Cholesterinbiosynthesehemmer, hemmen die Cholesterinbiosynthese durch Inhibition eines frühen Schrittes der Biosynthese, der Umwandlung von HMG-CoA (Hydroxymethylglutaryl-Coenzym A) in Mevalonsäure. Sie werden als Lipidsenker angewendet, wobei insbesondere das LDL gesenkt werden soll. Lovastatin wurde erstmals aus dem Bodenpilz Aspergillus terreus isoliert. Die Verbindung ist ein Prodrug. Wirkform ist die Substanz mit geöffnetem Lactonring. Weitere Verbindungen sind Simvastatin und

Pravastatin, das keinen Lactonring, sondern die β,δ-Dihydroxycarbonsäurekette enthält. Die Verbindungen werden biotechnologisch, neuere Substanzen mit weniger Asymmetriezentren vollsynthetisch dargestellt.
Copyright 1998 Spektrum Akademischer Verlag, Heidelberg
Wenn Sie inhaltliche Anmerkungen zu diesem Artikel haben, können Sie die Redaktion per E-Mail informieren. Wir lesen Ihre Zuschrift, bitten jedoch um Verständnis, dass wir nicht jede beantworten können.