Lexikon der Chemie: Hydroxycarbonsäuren
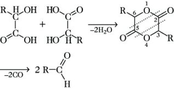
Hydroxycarbonsäuren, Carbonsäuren, bei denen ein oder mehrere Wasserstoffatome des Kohlenwasserstoffrestes durch eine oder mehrere Hydroxygruppen ersetzt sind. Der Bezeichnung der H. mit alkoholischer Hydroxygruppe liegt der Name der unsubstituierten Carbonsäure zugrunde, Stellung und Anzahl der Hydroxygruppen wird dem Namen der Carbonsäure vorangestellt. Diese Bezeichnungsweise ist auch in Verbindung mit dem Trivialnamen der Carbonsäure gebräuchlich, z. B. Milchsäure, 2-Hydroxypropionsäure bzw. α-Hydroxypropionsäure. H. sind normalerweise flüssig (Ausnahme: Glycolsäure fest) und gut wasserlöslich. Allg. Darstellungsmethoden sind die katalytische Hydrierung von Oxocarbonsäureestern und anschließende Hydrolyse, die saure Hydrolyse von Cyanhydrinen, die Hydrolyse von Halogencarbonsäuren, die Reformatski-Reaktion, die Oxidation von Hydroxyaldehyden und die Benzilsäureumlagerung. Bei der thermischen Behandlung der H. kommt es unter Dehydratisierung zu kooperativen Reaktionen von Hydroxy- und Carboxygruppe, deren Reaktionsprodukte von der gegenseitigen Stellung beider funktioneller Gruppen abhängen. α-H. bilden durch intermolekulare Dehydratisierung 3,6-Dialkyl-1,4-dioxan-2,5-dione (Lactide), die bei höherer Temperatur unter Decarbonylierung in Aldehyde zerfallen:

Demgegenüber ist die Dehydratisierung der β-H. intramolekular und führt zu α,β-ungesättigten Carbonsäuren. Durch intramolekulare Dehydratisierung von γ- bzw. δ-H., die unter Umständen schon beim Ansäuern ihrer Salze erfolgt, werden Lactone gebildet, die als innere Ester dieser Carbonsäuren aufgefaßt werden können. Längerkettige H., bei denen der Abstand zwischen Hydroxy- und Carboxygruppe noch größer ist, bilden durch intermolekulare Wasserabspaltung Polyester. α-H. werden bei der thermischen Behandlung in Anwesenheit verd. Mineralsäuren (z. B. HCl, H2SO4) in Ameisensäure und einen Aldehyd bzw. ein Keton gespalten. Die Reduktion der H. zu Carbonsäuren gelingt mit Iodwasserstoff. Einige H. nehmen bei Stoffwechselvorgängen eine zentrale Stellung ein, z. B. Milchsäure, Äpfelsäure, Weinsäure und Citronensäure. Phenolcarbonsäuren von Bedeutung sind die Salicylsäure und die Gallussäure. Eine allg. Darstellungsmethode für diese aromatischen H. ist die Kolbe-Schmitt-Reaktion.
Wenn Sie inhaltliche Anmerkungen zu diesem Artikel haben, können Sie die Redaktion per E-Mail informieren. Wir lesen Ihre Zuschrift, bitten jedoch um Verständnis, dass wir nicht jede beantworten können.