Lexikon der Chemie: Leukotriene
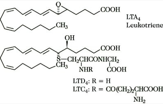
Leukotriene, Abk. LT, durch das Enzym Lipoxygenase aus mehrfach ungesättigten Fettsäuren, insbesondere der Arachidonsäure, gebildete hormonartig wirkende Peroxidationsprodukte. Man unterscheidet L. der Typen A, B, C und D. Ein Index gibt die Anzahl der Doppelbindungen an. So ist z. B. LTB4 eine 5,12-Dihydroxyeicosa-6,8,10,14-tetraensäure (Abk. 5,12-DHETE). Bei den L. C und D handelt es sich um Thioether. L. werden als chem. Mediatoren von bestimmten Zellen, z. B. Leukocyten und Mastzellen, gebildet und bewirken eine Kontraktion der glatten Muskulatur, insbesondere der Bronchien. Sie gehören zur Gruppe der slow-reacting substances (Abk. SRS). LTA wird als biosynthetische Vorstufe der anderen L. angesehen.

Copyright 1998 Spektrum Akademischer Verlag, Heidelberg
Wenn Sie inhaltliche Anmerkungen zu diesem Artikel haben, können Sie die Redaktion per E-Mail informieren. Wir lesen Ihre Zuschrift, bitten jedoch um Verständnis, dass wir nicht jede beantworten können.