Lexikon der Chemie: Methangärung
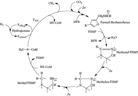
Methangärung, die anaerobe Bildung von Methan durch methanogene Bakterien. Für die Reduktion von Kohlendioxid zu Methan wird ein cyclischer Ablauf postuliert (Abb.). Nach Bindung von Kohlendioxid an Methanofuran (ein langkettiges Molekül mit einem aromatischen Ring und einem terminalen Furanring) erfolgt der Transfer der C1-Einheit auf Tetrahydromethanopterin (THMP, ähnlich der Folsäure, u. a. einen Zuckerrest enthaltend). Die durch stufenweise Reduktion gebildete CH3-Gruppe wird schließlich vom THMP auf Coenzym M (2-Mercaptoethansulfonsäure, HS-CH2-CH2-SO3-) übertragen. Der letzte Schritt in der Methanbiosynthese wird nach CH3-S-CoM + H2 → CH4 + HS-CoM durch die Methyl-CoM-Reductase (2 Mol F430/Mol Enzym enthaltend) katalysiert, an dem zahlreiche Cofaktoren (u. a. Faktor 430, ein Nickel-enthaltendes Tetrapyrrol) und Proteine beteiligt sind. Der Faktor 420 (F420, ein 5-Deazaflavin-Derivat) dient als 2-Elektronenüberträger in der Hydrogenasereaktion. Vom F420 können die Elektronen auch auf NADP+ (mittels einer NADP+-F420-Oxidoreductase) – nicht aber auf NAD+ – übertragen werden. Formiat (Formiatdehydrogenase), Kohlenmonoxid (CO-Dehydrogenase) und eventuell auch Methanol sowie Acetat können als Elektronendonatoren für F420 dienen.
Eine M. kommt an den Stellen vor, wo Pflanzen absterben und anderes organisches Material unter anaeroben Bedingungen zersetzt wird (Sümpfe, Moore, Sedimentschichten von Seen, Flüssen und Meeren, Mülldeponien, Naßreisfelder, Pansen von Wiederkäuern usw.). Jährlich werden etwa 500-800 t Methan gebildet, das zu ca. 20 % an der Klimaveränderung durch den sog. Treibhauseffekt beteiligt ist.

Methangärung. Abb.: C1-Cyclus für die Reduktion von CO2 zu Methan.
Biotechnologische Bedeutung besitzt die M. bei der anaeroben Abwasserreinigung, Schlammfaulung und bei der Stabilisierung von Hausmüll und landwirtschaftlichen Abfällen. Ein Hauptziel ist dabei die Erzeugung von Biogas.
Wenn Sie inhaltliche Anmerkungen zu diesem Artikel haben, können Sie die Redaktion per E-Mail informieren. Wir lesen Ihre Zuschrift, bitten jedoch um Verständnis, dass wir nicht jede beantworten können.