Lexikon der Chemie: mikrobielle Steroidtransformationen
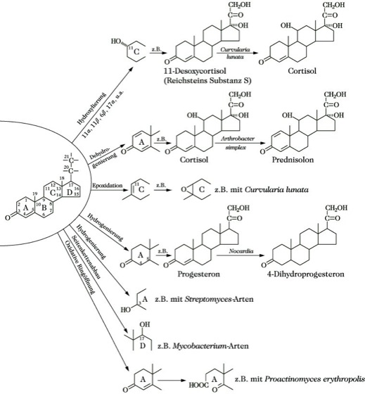
mikrobielle Steroidtransformationen, weltweit am intensivsten durchgeführte mikrobielle Transformationen an Steroiden. M. S. werden dann eingesetzt, wenn chemische Synthesen nicht oder nur sehr aufwendig bzw. in geringerer Ausbeute durchgeführt werden können. Das ist besonders dann der Fall, wenn eine hohe Regio- oder Stereospezifität erforderlich ist. So sind u. a. folgende Reaktionen beschrieben worden: Hydroxylierungen, Dehydrierungen, oxidativer Seitenkettenabbau, Aromatisierung, Hydrierung von Doppelbindungen und Reduktionen von Carbonyl- zu Hydroxygruppen (Abb.). Als Ausgangsmaterial dienen pflanzliche (Phytosterine) und tierische Steroidrohstoffe, wie z. B. Diosgenin, Hecogenin, das β-Sitosterin (Sitosterine) aus Sojabohnen sowie Gallensäuren, die der Kulturlösung der Mikroorganismen nach Durchlaufen der Wachstumsphase zugesetzt werden. Die Fermentationen werden z. T. in nichtwäßrigen Systemen durchgeführt. Verfahren mit ruhenden, immobilisierten Zellen sowie zellfreien Systemen wurden beschrieben. Nach Abschluß der Umsetzung wird das Steroidgemisch mit einem apolaren Lösungsmittel extrahiert und die Lösung aufgearbeitet. Technisch wichtige m. S. sind die 11α-Hydroxylierung (z. B. Bildung von 11α-Hydroxyprogesteron mittels Rhizopus nigricans), 11β-Hydroxylierung (z. B. Bildung von Cortisol aus Reichsteins Substanz S mittels Curvularia lunata, vgl. Abb.), 16α-Hydroxylierung (z. B. Gewinnung von 9α-Fluor-16α-hydroxycortisol aus 9α-Fluorcortisol durch Streptomyces sp.), eine 1,2-Dehydrierung (z. B. Bildung von Prednisolon aus Cortisol mittels Corynebacterium oder Arthrobacter simplex, vgl. Abb.). Neben weiteren Hydroxylierungsreaktionen in 17α- und 21-Stellung (außer am C-8, C-13 und C-20 können durch verschiedene Mikroorganismen alle Positionen am Steroidmolekül hydroxyliert werden) und Esterverseifungen hat vor allem der mikrobielle Seitenkettenabbau (vgl. Abb.) große ökonomische Bedeutung erlangt. Dabei wird selektiv die aliphatische Seitenkette am C-17 abgespalten, ohne daß dabei das Steroidgerüst angegriffen wird. Um das zu verhindern (z. B. häufig stattfindende 1,2-Dehydrierungen, 9α-Hydroxylierungen), werden Strukturveränderungen des Sterins durchgeführt, so daß enzymatische Reaktionen an diesen Stellen nicht möglich sind oder es werden die abbauenden Enzyme gehemmt bzw. Mutanten verwendet, die diese Enzyme nicht mehr besitzen. Ein Seitenkettenabbau bis zu C-19-Steroiden ist wegen der Progesteronsynthese besonders interessant. Zum Seitenkettenabbau sind besonders selektierte Stämme von Mycobacterium, Arthrobacter, Nocardia, Corynebacterium und Streptomyces geeignete. So wird z. B. durch mikrobiellen Seitenkettenabbau von Cholesterin oder β-Sitosterol 1,4-Androstadien-3,17-dion erhalten, welches auf chemischem Wege leicht in Estron umgewandelt werden kann, das eine Zwischenstufe der Synthese von 19-Norpregnan-Derivaten ist. Die 19-Norsteroide werden weltweit als Kontrazeptiva genutzt.

mikrobielle Steroidtransformationen. Abb.: Übersicht.
Wenn Sie inhaltliche Anmerkungen zu diesem Artikel haben, können Sie die Redaktion per E-Mail informieren. Wir lesen Ihre Zuschrift, bitten jedoch um Verständnis, dass wir nicht jede beantworten können.