Lexikon der Chemie: monomolekulare Reaktion
monomolekulare Reaktion, eine chem. Elementarreaktion, bei der ein Molekül ohne Reaktionspartner umgewandelt wird. Als schematische Reaktionsgleichung gilt A → Produkte; in der Regel findet man ein Zeitgesetz 1. Ordnung. Typische Beispiele sind Dissoziationen und Isomerisierungen.
Thermische monomolekulare Gasphasenreaktionen befolgen bei hohen Drücken ein Zeitgesetz 1. Ordnung. Bei niedrigen Drücken zeigt die Geschwindigkeitskonstante 1. Ordnung einen Abfall mit sinkendem Druck. Die Reaktionen erfordern meist beträchtliche Aktivierungsenergien, die bei thermischen Reaktionen nur durch Stöße zwischen den Molekülen – also bimolekulare Ereignisse – übertragen werden können (Reaktionskinetik, Theorie). Der Lindemann-Hinshelwood-Mechanismus (1922) löst das Problem durch folgende Postulate: 1) Ist einem Molekül A durch Stöße die erforderliche Energie zugeführt worden, die es zur Überschreitung der Potentialbarriere befähigt, dann reagiert dieses aktivierte Teilchen A* nicht sofort. Die Energie wird zwischen den inneren Freiheitsgraden umverteilt, und es existiert eine bestimmte Wahrscheinlichkeit, daß sich die Energie auf diejenigen kritischen Schwingungen konzentriert, die zu einer Spaltung bzw. Isomerisierung führen. Das aktivierte Molekül A* hat dadurch eine bestimmte Lebenszeit. 2) Ist diese Lebensdauer groß im Vergleich zur Einstellgeschwindigkeit des Energieverteilungsgleichgewichtes im System, so liegen A* in einer Gleichgewichtsverteilung vor und zerfallen nach einem Zeitgesetz 1. Ordnung. Das ist in Lösung und dichteren Gasen der Fall. 3) Reagieren A* schnell im Vergleich zur Gleichgewichtseinstellung, so wird die Bildung von A* geschwindigkeitsbestimmend, die einem Zeitgesetz 2. Ordnung gehorcht. Das ist der Fall bei Gasreaktionen unter geringem Druck und bei hohen Zerfallskonstanten von A* (hohe Temperatur, kleine Aktivierungsenergie). Formal beschreibt folgender Mechanismus diesen Sachverhalt:
A* ![]()
Produkte Reaktion
A + M ![]()
A* + M Aktivierung
A* + M ![]()
A + M Desaktivierung
Dabei wirkt M als energieübertragender Stoßpartner. Es kann ein Teilchen der Sorte A, aber auch ein Inertgasmolekül sein.
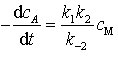
Unter Annahme quasistationärer Konzentrationen für A* (komplexe Reaktion) folgt daraus das Zeitgesetz

.
Bei hohen Konzentrationen cM ist k1<< k2cM, und man erhält das Zeitgesetz 1. Ordnung

.
Es bedeuten cA und cM die Konzentrationen der Stoffe A und M, k die Geschwindigkeitskonstanten und k∞ die Hochdruckgeschwindigkeitskonstante. Bei sehr geringen Konzentrationen, d. h. kleinen Gasdrücken, ist k1 >>k-2cM und damit
(Zeitgesetz 2. Ordnung).
Das theoretische Konzept von Lindemann und Hinshelwood hat sich als sehr tragfähig erwiesen und wurde ausgebaut. Rice, Ramsperger, Kassel und Marcus (RRKM-Theorie) verfeinerten das Modell, indem sie sie Energieumverteilung in A* mit der Reaktionswahrscheinlichkeit korrelierten.
Wenn Sie inhaltliche Anmerkungen zu diesem Artikel haben, können Sie die Redaktion per E-Mail informieren. Wir lesen Ihre Zuschrift, bitten jedoch um Verständnis, dass wir nicht jede beantworten können.