Lexikon der Chemie: Phasentransferkatalyse
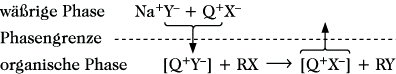
Phasentransferkatalyse, Abk. PTC, Syntheseprinzip für die dosierte Bereitstellung des Reagens u. a. bei nucleophilen Substitutionen, der Alkylierung von -O-H-, -S-H-, -N-H- und aktivierten C-H-Bindungen, bei Carbenreaktionen, Wittig-Horner-Reaktionen, Oxidationsreaktionen u. a. Nucleophile Substitutionen laufen bei der P. z. B. nach folgendem Mechanismus ab:

Das Katalysator-Kation Q+ geht mit dem Anion Y- (gleichzeitig nucleophiles Reagens für die Substitutionsreaktion) in die organische Phase über, wo das schwach solvatisierte Ionenpaar schnell reagiert. Q+ kehrt danach mit dem Anion X- (Abgangsgruppe der nucleophilen Substitution) in die wäßrige Phase zurück. Die Katalysator-Kationen Q+ sind Oniumsalz-Kationen meist Ammonium- oder Phosphoniumsalze mit langkettigen organischen Resten, ferner auch durch Alkalimetall-Kationen komplexierte Kronenether.
Vorteile der P. gegenüber den konventionellen Syntheseverfahren sind z. B. die Einsparung wasserfreier aprotischer Lösungsmittel, verkürzte Reaktionszeiten und niedrigere Reaktionstemperaturen, die Verwendung wäßriger Natronlauge anstelle von Alkalimetallalkoxiden, eine vereinfachte Aufarbeitung der Reaktionsprodukte, die Verschiebung der Selektivität und des Produktverhältnisses durch Unterdrückung von Nebenreaktionen.
Wenn Sie inhaltliche Anmerkungen zu diesem Artikel haben, können Sie die Redaktion per E-Mail informieren. Wir lesen Ihre Zuschrift, bitten jedoch um Verständnis, dass wir nicht jede beantworten können.