Lexikon der Chemie: Prileschajew-Reaktion
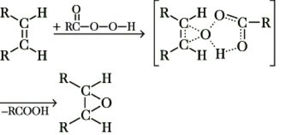
Prileschajew-Reaktion, Reaktion zur Herstellung von Oxiranen (Epoxide) durch Einwirkung von Peressigsäure, Perbenzoesäure und Monoperphthalsäure auf Alkene. Als Lösungsmittel dienen Chloroform, Ether, Aceton oder Dioxan. Der Reaktionsmechanismus entspricht einer elektrophilen cis-Addition synchron über einen cyclischen aktivierten Komplex. Alkylsubstituenten erleichtern die Reaktion in der Reihe CH2=CH2< RCH=CH2< RCH=CHR < (R)2C=C(R)2; Carboxygruppen wirken reaktionserschwerend. Die säurekatalysierte Hydrolyse der Oxirane führt unter Ringöffnung zu trans-1,2-Diolen. Die P. ist vor allem bei nichtflüchtigen, wasserunlöslichen Alkenen, die sich anderen Epoxidationsmethoden entziehen, wertvoll.

Copyright 1998 Spektrum Akademischer Verlag, Heidelberg
Wenn Sie inhaltliche Anmerkungen zu diesem Artikel haben, können Sie die Redaktion per E-Mail informieren. Wir lesen Ihre Zuschrift, bitten jedoch um Verständnis, dass wir nicht jede beantworten können.