Lexikon der Chemie: Pyrrolo-chinolin-chinon
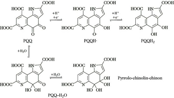
Pyrrolo-chinolin-chinon, Methoxatin, Abk. PQQ, ein Coenzym (Mr 330; in wäßrigen Lösungen instabil) zahlreicher Oxidoreductasen, insbesondere mikrobieller Herkunft (u. a. Methanoldehydrogenase gramnegativer methylotropher Bakterien, Glucosedehydrogenase aus Acinetobacter calcoaceticus, Alkoholdehydrogenase aus Pseudomonas aeruginosa). Erste Befunde liegen auch über das Vorkommen PQQ-abhängiger Enzyme aus höheren Organismen (z. B. Cholindehydrogenase aus Hundeleber) vor. Verschiedene Bakterien bilden nur das Apoenzym oder scheiden PQQ in das Kulturmedium aus. Unter bestimmten Bedingungen dient PQQ als Wachstumsfaktor von Bakterien. Neben den seit langem bekannten NAD(P)+-abhängigen und Flavoproteindehydrogenasen stellen die Chinproteindehydrogenasen eine neue Klasse von Oxidoreductasen dar, die nicht auf eine besondere Gruppe von Organismen begrenzt ist. Verschiedene Oxidoreductasen katalysieren die gleiche Reaktion (z. B. NAD+-, NADP+-, Flavoprotein- und PQQ-abhängige Glucosedehydrogenase). An den Oxidoreduktionen nehmen 3 Redoxformen des Coenzyms teil: PQ, PQQH, PQQH2 (Abb.). Konzentrierte Lösungen von PQQ zeigen eine Absorptionsbande bei 475 nm. In wäßriger Lösung ist PQQ teilweise kovalent hydratisiert (Abb. PQQ-H2O).
PQQ bindet leicht nucleophile Verbindungen (Aldehyde, Ketone, basische Aminosäuren usw.). Trotz des relativ hohen Redoxpotentials von PQQ/PQQH2 (+90 mV bei 7,0) übertragen die Chinoproteine – in Abhängigkeit vom Typ des PQQ-abhängigen Enzyms – Elektronen auf verschiedene Komponenten der Atmungskette (Cytochrom b, Cytochrom c, NADH-Dehydrogenase).

Wenn Sie inhaltliche Anmerkungen zu diesem Artikel haben, können Sie die Redaktion per E-Mail informieren. Wir lesen Ihre Zuschrift, bitten jedoch um Verständnis, dass wir nicht jede beantworten können.