Lexikon der Chemie: Schmidt-Reaktion
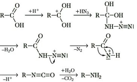
Schmidt-Reaktion, Abbaureaktion von Carbonylverbindungen zu Aminen, Säureamiden oder Nitrilen durch Einwirkung von Natriumazid und Schwefelsäure. Eine typische Reaktion ist die Umsetzung von Carbonsäuren, die über Carbonsäureazide und Isocyanate zu Aminen führt:

Dabei erfolgt wie beim Curtius-Abbau, Hofmann-Abbau von Säureamiden und Lossen-Abbau eine Verkürzung der Kohlenstoffkette um ein C-Atom. Bei der S. ergeben Dicarbonsäuren mit mehr als einer CH2-Gruppe zwischen den Carboxygruppen entsprechende Diamine, Aldehyde liefern Nitrile und N-substituierte Formamide, aus Ketonen entstehen Säureamide. Aus cyclischen Ketonen erhält man Lactame bzw. bei einem großen Überschuß von Stickstoffwasserstoffsäure substituierte Tetrazole. Aliphatische und alicyclische Carbonylverbindungen reagieren leichter als aromatische Verbindungen und als Carbonsäuren. Daher kann die S. bei Anwesenheit verschieden reaktiver Carbonylgruppen in einem Molekül auch selektiv ausgeführt werden.
Wenn Sie inhaltliche Anmerkungen zu diesem Artikel haben, können Sie die Redaktion per E-Mail informieren. Wir lesen Ihre Zuschrift, bitten jedoch um Verständnis, dass wir nicht jede beantworten können.