Lexikon der Chemie: spezifische Wachstumsrate
spezifische Wachstumsrate, Symbol μ (Dimension h-1), eine wichtige Kenngröße von Fermenta-
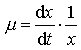
tionsprozessen. Die s. W. ist als relative Wachstumsgeschwindigkeit von Mikroorganismen, angegeben als Zunahme an Biomasse x pro Zeiteinheit, bezogen auf die zu Beginn des Zeitintervalls vorhandene Biomasse definiert:

Ähnlich wie andere Kenngrößen (z. B. spezifischer Substratverbrauch) ist die s. W. keine konstante Größe, sondern variiert in Abhängigkeit von exogenen (Substratkonzentration, pH-Wert, Temperatur u. a.) und endogenen (z. B. Art, Geschwindigkeit und Regulation von Transport- und Stoffwechselprozessen) Faktoren. Werden alle Milieufaktoren im Optimum gehalten, resultiert aus der s. W. ein Maximalwert, die maximale spezifische Wachstumsrate μmax. Diese wird ausschließlich von endogenen Faktoren beeinflußt und stellt daher eine organismenspezifische Kenngröße für das Wachstum auf einem definierten Substrat dar. Die s. W. kann mit verschiedenen Methoden bestimmt werden.
Wenn Sie inhaltliche Anmerkungen zu diesem Artikel haben, können Sie die Redaktion per E-Mail informieren. Wir lesen Ihre Zuschrift, bitten jedoch um Verständnis, dass wir nicht jede beantworten können.