Lexikon der Chemie: Stärke
Stärke, Amylum, Gemisch pflanzlicher Reservepolysaccharide, die nur aus Glucose aufgebaut sind. S. ist ein weißes, nichtkristallines Pulver, das in kaltem Wasser unlöslich ist. Mit heißem Wasser wird Kleister gebildet, der beim Erkalten als Gel erstarrt.
S. ist in pflanzlichen Organen, wie Samen, Wurzeln, Knollen oder Baummark, in Form von Stärkekörnern enthalten. Getreidekörner enthalten 50 bis 70 %, Reiskörner 70 bis 80 %, Kartoffeln 17 bis 24 % S. S. kann aus den stärkehaltigen Pflanzenteilen durch Zerkleinern und Aufschlämmen mit Wasser gewonnen werden. Die Stärkekörner zeigen konzentrisch oder exzentrisch verlaufende Schichtungslinien und lassen sich nach Herkunft durch Form und Größe unterscheiden. Besonders klein sind die Körner der Reisstärke (Amylum Oryzae: 4 bis 6 μm). Die Körner der Kartoffelstärke (Amylum Solani) sind wesentlich größer (5 bis 100 μm).
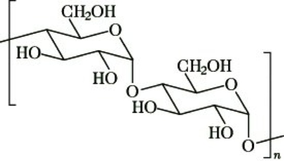
S. besteht im allg. aus 15 bis 25 % Amylose und 75 bis 85 % Amylopektin. Amylose ist ein im wesentlichen unverzweigtes α-D-Glucan mit einem durchschnittlichen Polymerisationsgrad von 103. Die Amylose der Getreidekörner hat einen höheren Polymerisationsgrad als die der Kartoffelstärke. Die Glucankette ist helikal angeordnet. Amylose ist ein weißes Pulver, das in heißem Wasser löslich ist. Mit Iod wird eine blau gefärbte Einschlußverbindung gebildet. Amylopektin ist ein baumartig verzweigtes Glucan, dessen durchschnittliche Kettenlänge bei 20 bis 25 Glucoseresten liegt. Der durchschnittliche Polymerisationsgrad beträgt 104 bis 105, ist also wesentlich höher als der der Amylose. Die Verzweigungen kommen durch α(1→6)-Bindungen zustande. Amylopektin ist ein weißes Pulver, das mit heißem Wasser Kleister ergibt. Die Einschlußverbindung mit Iod ist rotviolett gefärbt.

Stärke. Abb.: Amylose (Konformation).
Stärkeabbau. Durch Säure erfolgt ein Abbau zu Glucose über das Disaccharid Maltose. Eine partiell durch verd. Säure abgebaute S. ist die lösliche S. (Amylum solubile). Enzymatisch wird die S. durch Amylasen abgebaut, die in Tieren (z. B. im Pankreassekret und Speichel), Pflanzen (z. B. Malzamylase) und Mikroorganismen vorkommen. Die α-Amylasen bauen Amylose vollständig, Amylopektin zu 90 %, vorwiegend zu Maltose, ab. Beim Amylopektinabbau fallen noch die α-Dextrine (Dextrine) an, die reich an α(1→6)-Bindungen sind.
Verwendung. S. dient in der Lebensmittelindustrie zur Herstellung von Puddingpulver, Kindernährmitteln, Soßen, Cremes und anderen Stärkeerzeugnissen. Sie wird ferner in der Süßwarenindustrie, als Füllstoff in der pharmazeutischen Technologie sowie in der Textilindustrie für Appreturen eingesetzt. Die lösliche S. dient durch ihre Blaufärbung mit Iod als Indikator in der Iodometrie.
Wenn Sie inhaltliche Anmerkungen zu diesem Artikel haben, können Sie die Redaktion per E-Mail informieren. Wir lesen Ihre Zuschrift, bitten jedoch um Verständnis, dass wir nicht jede beantworten können.