Lexikon der Chemie: Sulfoniumsalze
Sulfoniumsalze, organische Schwefelverbindungen der allg. Formel R3S+X-, wobei R Alkylreste sind. Die kristallinen Salze entstehen bei der Umsetzung von Halogenalkanen mit Thioethern:

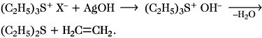
Beim Erhitzen zerfallen die S. in ihre Ausgangskomponenten, mit Silberoxid und Wasser entstehen die stark basischen Sulfoniumhydroxide, die beim Erhitzen in Dialkylsulfide und Alkene zerfallen:

Aus Trialkylsulfoniumhalogeniden und Methyllithium entstehen unter Abspaltung eines α-ständigen H-Atoms S-Ylide, z. B.:
S-Ylide sind sehr reaktive Intermediate bei der Synthese von Cyclopropanen und Oxiranen. S. mit drei verschiedenen Alkylresten haben ein Chiralitätszentrum (dreibindiger Schwefel in pyramidalen Strukturen) und können in optische Antipoden zerlegt werden.
Wenn Sie inhaltliche Anmerkungen zu diesem Artikel haben, können Sie die Redaktion per E-Mail informieren. Wir lesen Ihre Zuschrift, bitten jedoch um Verständnis, dass wir nicht jede beantworten können.