Lexikon der Chemie: Verteilungsfunktion
Verteilungsfunktion, Wahrscheinlichkeitsdichte, 1) in der Statistik eine Funktion, die die Verteilung der Teilchen einer Gesamtheit, z. B. der Moleküle eines Gases, hinsichtlich ihres Ortes, ihrer Geschwindigkeit und ihrer Energie beschreibt. Die V. gibt die Wahrscheinlichkeit an, ein Teilchen an einem bestimmten Ort, mit einer bestimmten Geschwindigkeit oder in einem bestimmten inneren Anregungszustand anzutreffen. Für große Teilchenzahlen kann die V. als kontinuierliche Funktion formuliert werden. In der Gleichgewichtsstatistik (Thermodynamik, Abschn. III) ist die räumliche Verteilung isotrop. Abstrahiert man von der Anregung innere Freiheitsgarde, so hängt die klassische V. nur vom Betrag der Geschwindigkeit ab. Es gilt die Maxwell-Boltzmann-Verteilung.
Weitere Gleichgewichtsverteilungen sind die Fermi-Dirac-Verteilung für Fermionen und die Bose-Einstein-Verteilung für Bosonen.
2) in der makromolekularen Chemie die Funktion, die den Anteil bestimmter Molekülmassen bzw. Polymerisationsgrade in einem Polymeren beschreibt.
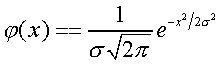
3) in der Fehlerrechnung eine Funktion zur Charakterisierung der zufälligen Beobachtungsfehler. Häufig gilt für die Verteilung der zufälligen Fehler x um den wahrscheinlichen Wert der Meßgröße die Gaußsche Fehlerverteilung

,
in der σ als Streuung bezeichnet wird. Je kleiner σ ist, um so enger gruppieren sich die Meßdaten um den Mittelwert.
Wenn Sie inhaltliche Anmerkungen zu diesem Artikel haben, können Sie die Redaktion per E-Mail informieren. Wir lesen Ihre Zuschrift, bitten jedoch um Verständnis, dass wir nicht jede beantworten können.