Lexikon der Chemie: Wasserstoffelektrode
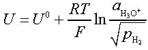
Wasserstoffelektrode, eine Gaselektrode, die aus einem platinierten Platinblech besteht, das von reinstem, gasförmigem Wasserstoff umspült wird und in eine Protonen (Wasserstoff-Ionen) enthaltende Lösung eintaucht. Das Potential wird durch das Gleichgewicht 2 H3O+ + 2 e-![]()
H2 + 2 H2O bestimmt. Damit ergibt sich nach der Nernst-Gleichung das Elektrodenpotential zu:

.

Wasserstoffelektrode. Abb.: Wasserstoffelektrode.
Hierbei bedeutet U0 das Standardelektrodenpotential, R die Gaskonstante, T die Temperatur in Kelvin, F die Faraday-Konstante, aH3O+ die Aktivität der Oxonium-Ionen und pH2 den Druck des Wasserstoffgases. Eine W. mit der Wasserstoff-Ionenkonzentration 1 mol/l und dem Wasserstoffgasdruck 101,3 kPa (früher 1 atm) wird als Standardwasserstoffelektrode bezeichnet, deren Elektrodenpotential vereinbarungsgemäß gleich Null gesetzt wird. Dieses Potential dient als Bezugspunkt bei der Aufstellung von Spannungsreihen.
Wenn Sie inhaltliche Anmerkungen zu diesem Artikel haben, können Sie die Redaktion per E-Mail informieren. Wir lesen Ihre Zuschrift, bitten jedoch um Verständnis, dass wir nicht jede beantworten können.