Lexikon der Ernährung: Anthocyane
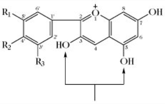
Anthocyane (E 163), Eanthocyanins, aus dem griech. anthos, Blüte und kyanos, blau abgeleitete Bezeichnung für eine Gruppe der sekundären Pflanzenstoffe. A. sind weit verbreitete, wasserlösliche, blaue, rote oder violette Pflanzenfarbstoffe, die zu den Flavonoiden gehören, sie kommen in vielen Früchten (v. a. Beeren), Blättern, Blüten und Gemüsearten vor. Die Farbe der einzelnen A. ist abhängig von der Substituierung des Grundgerüstes (Abb.). Zunehmende Hydroxylierung bewirkt eine Blauverschiebung, Glycosylierung und Methylierung eine Rotverschiebung. Eine Komplexbildung mit Metallionen (besonders Fe3+ und Al3+) führt ebenfalls zu blauen Farben. A. ändern je nach pH-Wert ihrer Lösungen die Farbe: Sie werden bei Säurezusatz rot, bei schwachem Laugenzusatz violett oder blau, bei weiterem Laugenzusatz gelb-grün. In der Lebensmittelindustrie dienen die A. als natürliche Farbstoffe zum Färben von Getränken, Süßwaren, Snacks und rot geädertem Käse. Am meisten verwendet wird Oenocyanin aus den Pressrückständen roter Weintrauben. Bisher sind über 250 natürlich vorkommende A. bekannt. In den Pflanzen entstehen sie aus den Proanthocyanidinen. A. sind Glycoside hydroxylierter 2-Phenylbenzopyryliumsalze, die durch Säure- oder enzymatische Hydrolyse in eine Kohlenhydratkomponente (am häufigsten D-Glucose, aber auch Rhamnose, Xylose, Galactose, Arabinose und Fructose) und die als Anthocyanidine bezeichneten wasserunlöslichen und instabilen Aglyca (Farbstoffkomponenten) gespalten werden. In den A. sind die Zuckerkomponenten meist in 3- und / oder 5-Stellung gebunden. Die Hydroxylgruppen sind teilweise auch mit Phenolsäuren (z. B. Ferulasäure, Kaffeesäure) oder aliphatischen Säuren (z. B. Essigsäure, Malonsäure, Oxalsäure) verestert. Die Namen der Aglycone enden meistens auf ...idin, die der Glykoside auf ...in (z. B. Cyanin = glycosidische Verbindung, Cyanidin = Aglycon). Aufgrund ihrer verschiedenen Substitutionsmuster lassen sich die A. in Gruppen einteilen, von denen die wichtigsten in der Legende zur Abb. aufgeführt sind.
Besonders reich an A. sind (alle Angaben in mg / 100 g Frischgewicht): Brombeeren (83–326), Heidelbeeren (25–495), Kirschen (350–450), schwarze Johannisbeeren (250), blaue Trauben (30–750), Auberginen (750), rote Zwiebeln (bis zu 250) und Rotkohl (25). In Äpfeln und Birnen sind A. in den roten Schalenanteilen vorhanden. A. wirken als Antioxidanzien und einige Vertreter dieser Gruppe haben möglicherweise antimutagene Eigenschaften.
Anthocyane: Glycosylierung des Anthocyanidin-Grundgerüstes an einem oder beiden der markierten Orte mit Glucose, Galactose, Rhamnose oder Arabinose bzw. mit verschiedenen Oligosacchariden ergibt die wasserlöslichen Anthocyane. Anthocyane

Wenn Sie inhaltliche Anmerkungen zu diesem Artikel haben, können Sie die Redaktion per E-Mail informieren. Wir lesen Ihre Zuschrift, bitten jedoch um Verständnis, dass wir nicht jede beantworten können.