Lexikon der Ernährung: Bacitracin
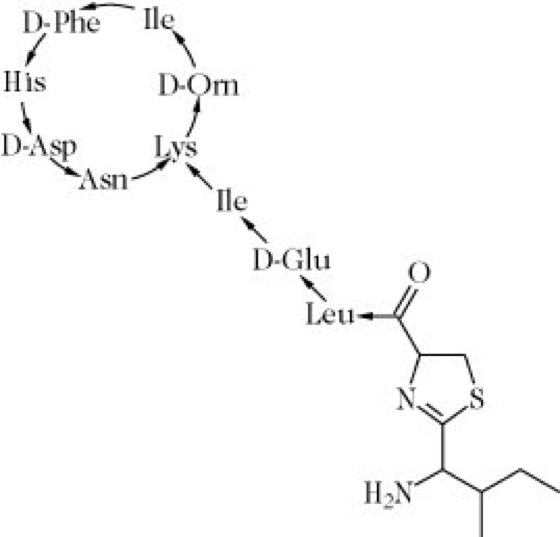
Bacitracin, Ebacitracin, Bezeichnung für einen Polypeptidantibiotika-Komplex (Antibiotika) mit breitem Wirkungsspektrum gegen grampositive Erreger. B. wurde 1943 aus Bacillus subtilis und Bacillus licheniformis isoliert und wirkt v. a. gegen Streptococcus und Staphylococcus. Kommerzielles B. ist ein Gemisch aus mehreren Komponenten, mit der Hauptkomponente B. A (Abb.). Anwendung findet B. v. a. in der Behandlung von Wundinfektionen, Verbrennungen und Hauttransplantationen. In der Tiermast dient B. z. B. in Form von Zink-Salz als Fütterungsantibiotikum. Die LD50 (Maus) peroral beträgt 25 mg / kg. Es gibt Hinweise darauf, dass schon geringe Mengen mit der Nahrung aufgenommenes B. Überempfindlichkeitsreaktionen beim Menschen auslösen können. Bei Hautkontakt kann es innerhalb von 30–60 min über einen pseudoallergischen Mechanismus zu Kontakturticaria mit Rötung, Juckreiz und Quaddelbildung kommen. Die Anwendung von Antibiotika in der Tiermast kann außerdem eine Resistenzentwicklung bei Mikroorganismen bewirken. Dies ist v. a. bei Medikamenten von großer Bedeutung, die in der Humanmedizin angewendet werden. Deshalb hat der Agrarministerrat der Europäischen Union zum 1.1.1999 auf Empfehlung der Weltgesundheitsorganisation (WHO) vier antibiotische Leistungsförderer, darunter Zink-B., als Zusatzstoffe in Futtermitteln verboten (Verordnung [EG] Nr. 2821/98 des Rates vom 17. Dezember 1998 zur Änderung der Richtlinie 70/524/EWG über Zusatzstoffe in der Tierernährung).
Bacitracin: Bacitracin A. Bacitracin

Wenn Sie inhaltliche Anmerkungen zu diesem Artikel haben, können Sie die Redaktion per E-Mail informieren. Wir lesen Ihre Zuschrift, bitten jedoch um Verständnis, dass wir nicht jede beantworten können.