Lexikon der Ernährung: Blutviskosität
Blutviskosität, Eblood viscosity, Fließeigenschaft bzw. Zähflüssigkeit des Blutes. Die B. hängt ab von der Erythrocytenzahl (mit steigendem Hämatokrit steigt die Blutviskosität überproportional an), der Eiweißkonzentration des Plasmas (d. h. der Plasmaviskosität, die mit steigendem Eiweißgehalt ansteigt), Temperatur und Strömungsgeschwindigkeit. Eine Erhöhung letzterer führt zu einer Abnahme der B. Gemessen wird die B.
a) als absolute B. in der SI-Einheit Pa × s, sie liegt bei Werten um 2,5 ×10–3 Pa × s);
b) als kinematische B. (hierzu wird der Qutient aus der absuluten B. und der Dichte gebildet, Einheit m2 / s);
c) als relative B.
Im Vergleich zu Wasser (= 1) beträgt die mittlere relative B. gesunder Erwachsener 4,5, die von Blutplasma 2,2.
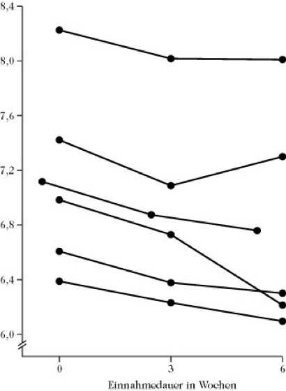
Die B. ist ein wichtiges Kriterium für die sog. Mikrozirkulation und damit für die Sauerstoffversorgung der Körpergewebe (Durchblutungsstörung). Für eine Senkung der B. durch ω-3-Fettsäuren der Nahrung wird die Einlagerung dieser mehrfach ungesättigten Fettsäuren in die Zellmembranen der Erythrocyten diskutiert, woduch diese verformbarer werden (Abb.). Auch natriumhaltige Heil- bzw. Mineralwässer scheinen die B. zu senken. Im Gegenzug wirkt sich jeder Flüssigkeitsverlust bzw. mangelnde Flüssigkeitszufuhr (z. B. bei älteren Menschen) steigernd auf die B. aus.
Blutviskosität: Verringerung der B. durch ω-3-Fettsäuren im Rahmen einer Fischöl-Diät (rel. Einheiten). [n. I.J Cartwright et al., Atherosclerosis55 (1985) 267–281] Blutviskosität

Wenn Sie inhaltliche Anmerkungen zu diesem Artikel haben, können Sie die Redaktion per E-Mail informieren. Wir lesen Ihre Zuschrift, bitten jedoch um Verständnis, dass wir nicht jede beantworten können.