Direkt zum Inhalt

Lexikon der Ernährung: Enzymkinetik

Enzymkinetik, Eenzyme kinetics, mathematische Behandlung enzymkatalysierter Reaktionen; hierfür wird unter kontrollierten Bedingungen für Temperatur, pH-Wert, Substrat- und Enzymkonzentration, Pufferzusammensetzung, usw. die Geschwindigkeit gemessen, mit der das Substrat verschwindet oder das Produkt erscheint. Die einfachste grafische Darstellung der Daten ist eine Zeit-Umsatz-Kurve, ein Diagramm, in dem d[S] gegen die Zeit aufgetragen wird (wobei [S] die Konzentration des Substrats ist). Das allgemeine Interesse gilt der Momentgeschwindigkeit v = d[S] / dt (Geschwindigkeitsgesetz), deren Bestimmung aus der Zeit-Umsatz-Kurve schwierig sein kann. Für diesen Fall kann ein integriertes Geschwindigkeitsgesetz oder der zeitliche Verlauf der Produktbildung nützlich sein.
Die Enzymaktivität entspricht der Substrat- bzw. Produktmenge, die in einer gegebenen Zeit verbraucht bzw. gebildet wird. Das Nomenklatur-Kommitee der International Union of Biochemistry empfahl 1961 als Bezugsgröße die Verwendung der Enzymeinheit (U, Unit). 1 U ist die Menge eines Enzyms, die benötigt wird, um 1 Mikromol eines Substrats in einer Minute unter Standardbedingungen umzusetzen.
Die Michaelis-Menten-Behandlung der E. geht davon aus, dass sich das Substrat und das Enzym vorübergehend zu einem Enzym-Substrat-Komplex verbinden, der entweder in das Substrat oder das Produkt zerfallen kann: E + S ⇌ ES ⇌ E + P.
Für einen kurzen Zeitraum kann angenommen werden, dass die Geschwindigkeit, mit der sich [ES] ändert, klein ist verglichen mit der Änderung von [S], da die Geschwindigkeit der Bildung und des Zerfalls des ES-Komplexes gleich groß sind. Daraus ergibt sich die in Abb. 1 gezeigte Herleitung.
Die Größen Km und Vmax (Abb. 2) charakterisieren als kinetische Parameter ein Enzym neben weiteren (z. B. für Konstanten für Inhibitoren, pH- und Temperatur-Optima) und anderen, für Proteine gültigen Eigenschaften (Isoelektrischer Punkt, Molekulargewicht etc).
Bei den bisherigen Betrachtungen wurde vorausgesetzt, dass die Rückreaktion vernachlässigt werden kann. Die Reaktionen, die von vielen Enzymen katalysiert werden, sind im Wesentlichen irreversibel oder die Produkte sind sofort Gegenstand weiterer Reaktionen, so dass die Annahme der Irreversibilität Gültigkeit hat. Wenn die Reaktion jedoch reversibel ist, muss die Michaelis-Gleichung modifiziert werden (Lehrbücher der Biochemie).


Enzymkinetik: Abb. 1. Michaelis-Menten-Beziehung der Bildung des Enzym-Substrat-Komplexes [ES] als geschwindigkeitsbestimmender Schritt der Enzymreaktion. k1, k2= Geschwindigkeitskonstanten der Hin- und der Rückreaktion, in eckigen Klammern die Konzentrationen des Enzyms [E] und des Substrats [S]. Km ist die Michaelis-Konstante.

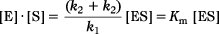
  Enzymkinetik: Abb. 2. Die Michaelis-Menten-Gleichung für die Anfangsreaktionsgeschwindigkeit v, (Konzentration des Produktes [P]=0). Vmax= maximale Reaktionsgeschwindigkeit, Km= Michaelis-Konstante, [S]= Substratkonzentration.
  • Die Autoren

Albus, Christian, Dr., Köln
Alexy, Ute, Dr., Witten
Anastassiades, Alkistis, Ravensburg
Biesalski, Hans Konrad, Prof. Dr., Stuttgart-Hohenheim
Brombach, Christine, Dr., Gießen
Bub, Achim, Dr., Karlsruhe
Daniel, Hannelore, Prof. Dr., Weihenstephan
Dorn, Prof. Dr., Jena
Empen, Klaus, Dr., München
Falkenburg, Patricia, Dr., Pulheim
Finkewirth-Zoller, Uta, Kerpen-Buir
Fresemann, Anne Georga, Dr., Biebertal-Frankenbach
Frenz, Renate, Ratingen
Gehrmann-Gödde, Susanne, Bonn
Geiss, Christian, Dr., München
Glei, Michael, Dr., Jena (auch BA)
Greiner, Ralf, Dr., Karlsruhe
Heine, Willi, Prof. Dr., Rostock
Hiller, Karl, Prof. Dr., Berlin (BA)
Jäger, Lothar, Prof. Dr., Jena
Just, Margit, Wolfenbüttel
Kersting, Mathilde, Dr., Dortmund
Kirchner, Vanessa, Reiskirchen
Kluthe, Bertil, Dr., Bad Rippoldsau
Kohlenberg-Müller, Kathrin, Prof. Dr., Fulda
Kohnhorst, Marie-Luise, Bonn
Köpp, Werner, Dr., Berlin
Krück, Elke, Gießen
Kulzer, Bernd, Bad Mergentheim
Küpper, Claudia, Dr., Köln
Laubach, Ester, Dr., München
Lehmkühler, Stephanie, Gießen
Leitzmann, Claus, Prof. Dr., Gießen
Leonhäuser, Ingrid-Ute, Prof. Dr., Gießen
Lück, Erich, Dr., Bad Soden am Taunus
Lutz, Thomas A., Dr., Zürich
Maid-Kohnert, Udo, Dr., Pohlheim
Maier, Hans Gerhard, Prof. Dr., Braunschweig
Matheis, Günter, Dr., Holzminden (auch BA)
Moch, Klaus-Jürgen, Dr., Gießen
Neuß, Britta, Erftstadt
Niedenthal, Renate, Hannover
Noack, Rudolf, Prof. Dr., Potsdam-Rehbrücke
Oberritter, Helmut, Dr., Bonn
Öhrig, Edith, Dr., München
Otto, Carsten, Dr., München
Parhofer, K., Dr., München
Petutschnig, Karl, Oberhaching
Pfau, Cornelie, Dr., Karlsruhe
Pfitzner, Inka, Stuttgart-Hohenheim
Pool-Zobel, Beatrice, Prof. Dr., Jena
Raatz, Ulrich, Prof. Dr., Düsseldorf
Rauh, Michael, Bad Rippoldsau
Rebscher, Kerstin, Karlsruhe
Roser, Silvia, Karlsruhe
Schek, Alexandra, Dr., Gießen
Schemann, Michael, Prof. Dr., Hannover (auch BA)
Schiele, Karin, Dr., Heilbronn
Schmid, Almut, Dr., Paderborn
Schmidt, Sabine, Dr., Gießen
Scholz, Vera, Dr., Langenfeld
Schorr-Neufing, Ulrike, Dr., Berlin
Schwandt, Peter, Prof. Dr., München
Sendtko, Andreas, Dr., Gundelfingen
Stangl, Gabriele, Dr. Dr., Weihenstephan
Stehle, Peter, Prof. Dr., Bonn
Stein, Jürgen, Prof. Dr. Dr., Frankfurt
Steinmüller, Rolf, Dr., Biebertal
Stremmel, Helga, Bad Rippoldsau
Ulbricht, Gottfried, Dr., Potsdam-Rehbrücke
Vieths, Stephan, Dr., Langen
Wächtershäuser, Astrid, Frankfurt
Wahrburg, Ursel, Prof. Dr., Münster
Weiß, Claudia, Karlsruhe
Wienken, Elisabeth, Neuss
Wisker, Elisabeth, Dr., Kiel
Wolter, Freya, Frankfurt
Zunft, Hans-Joachim F., Prof. Dr., Potsdam-Rehbrücke

Schreiben Sie uns!

Wenn Sie inhaltliche Anmerkungen zu diesem Artikel haben, können Sie die Redaktion per E-Mail informieren. Wir lesen Ihre Zuschrift, bitten jedoch um Verständnis, dass wir nicht jede beantworten können.

Partnerinhalte

Bitte erlauben Sie Javascript, um die volle Funktionalität von Spektrum.de zu erhalten.