Lexikon der Ernährung: Maltol
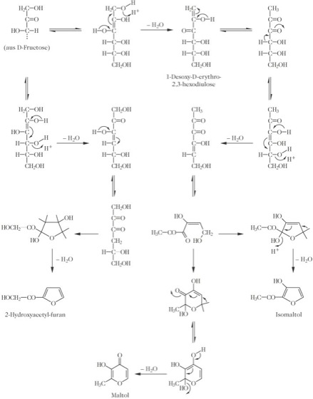
Maltol, Larixinsäure (INS 636), Emaltol, Geruchs- und Geschmacksverstärker (Flavor-modifizierende Substanzen). M. (Abb.) wurde erstmalig 1861 von dem britischen Chemiker Stenhouse aus der Rinde des Lärchenbaumes isoliert. Stenhouse erwähnte schon damals den angenehmen Geruch und den leicht bitteren und adstringierenden Geschmack. 1894 isolierte Brand M. aus geröstetem Malz. M. kommt natürlicherweise in zahlreichen Lebensmitteln vor (z. B. Backwaren, Kakao, Schokolade, Kaffee, Caramel, Malz, Kondensmilch, Chicoreé, Cerealien, Sojasauce und Bier). Es bildet sich, wenn Kohlenhydrate erhitzt werden (Abb.).
Die Tab. zeigt die Dosierung von M. in einigen ausgewählten süßen Lebensmitteln. Nach neueren Erkenntnissen kann M. auch Geschmack und Geruch von würzigen Lebensmitteln verbessern, außerdem das Mundgefühl von fettreduzierten Lebensmitteln. Die vertretbare Tagesdosis von M. wurde auf 2 mg / kg Körpergewicht festgelegt. Dieser Wert ist um ein Vielfaches höher als die durchschnittliche Aufnahmemenge. M. wird auch als Aromastoff verwendet. Vgl. Ethylmaltol.
Maltol: Bildung von Maltol beim Erhitzen von Kohlenhydraten (hier als Beispiel D-Fructose). Maltol

Maltol: Dosierung von M. in einigen ausgewählten süßen Lebensmitteln.
| ||
| Backwaren | 75 – 250 | |
| Getränke | 2 – 250 | |
| Zuckerwaren | 3 – 300 | |
| Schokoladenwaren | 30 – 200 | |
| Milchprodukte | 10 – 150 | |
| Desserts | 30 – 150 | |
| Marmeladen | 40 – 200 |
Wenn Sie inhaltliche Anmerkungen zu diesem Artikel haben, können Sie die Redaktion per E-Mail informieren. Wir lesen Ihre Zuschrift, bitten jedoch um Verständnis, dass wir nicht jede beantworten können.