Lexikon der Ernährung: Mutterkorn-Alkaloide
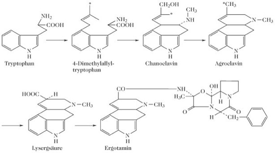
Mutterkorn-Alkaloide, Claviceps-Alkaloide, Eergot alkaloids, Mycotoxine des auf Gräsern (Getreide, v. a. Roggen, Hirse) schmarotzenden Pilzes der Art Claviceps purpurea. Die Sklerotien (bis zu 1 % Alkaloide enthaltende Dauerformen) werden als Mutterkorn bezeichnet. M. sind disubstituierte Indolderivate, die Amide der D-Lysergsäure oder Clavin-Alkaloide sind (Abb. 1). Sie sind hitze- und lagerstabil. Die Biosynthese der M. zeigt Abb. 2. Die Droge LSD ist partialsynthetisch hergestelltes Lysergsäure-Diethylamid und eines der stärksten bekannten Halluzinogene.
Das Vergiftungsbild ist vielfältig (konvulsiverErgotismus: Kriebelkrankheit, gangränoser Ergotismus: St. Antoniusfeuer) und gilt als eine der ältesten bekannten Mycotoxikosen. Es ist abhängig vom Anteil der Einzelsubstanzen (> 30 verschiedene M.). Jahrhundertelang (letztmalig 1977 / 78) kam es zu Massenvergiftungen (im Jahre 922 sollen an dieser Krankheit in Frankreich und Spanien ca. 40.000 Menschen gestorben sein) durch den Verzehr Mutterkorn-haltigen Getreides, was durch die heute übliche Saatgutreinigung vermeidbar ist. Der Mutterkorn-Anteil im Getreide oder Mehl ist auf 0,1 % begrenzt, was Intoxikationen ausschließt. 5–10 g frisches Mutterkorn gelten als tödlich für den Menschen. Symptome einer akuten Vergiftung sind Parästhesien in den Gliedmaßen, Magen- und Darmstörungen, Kopfschmerzen, Verwirrtheit bis hin zu Bewusstlosigkeit. Eine chronische Intoxikation führt zu Durchblutungsstörungen v. a. der Gliedmaßen aber auch der Herzkranzarterien und Nierenarterien. Dabei ist der gangränose Ergotismus (St. Antoniusfeuer) durch nekrotischen Gewebsuntergang und Geschwürbildung an den Gliedmaßen gekennzeichnet. Dies war häufig Ursache für Amputationen. Der konvulsive Ergotismus ( Kriebelkrankheit) zeigt sich durch Dauerkontraktion der Beugemuskulatur oder durch klonische Krämpfe infolge ZNS-Schädigung. In schweren Fällen tritt Areflexie auf. Zur Therapie akuter Vergiftungen erfolgen Magenspülungen, Aktivkohlegabe und symptomatische Behandlung. Die Therapie chronischer Intoxikationen wird nach Absetzen der belasteten Lebensmittel symptombezogen durchgeführt.
Pharmazeutisch werden Derivate der M. zur Blutstillung nach der Geburt eingesetzt.
Mutterkorn-Alkaloide: Abb. 1. Zu den Clavin-Alkaloiden zählen Agroclavin mit R = H und Elymoclavin mit R = OH. Lysergsäureabkömmlinge sind Lysergsäure mit R = OH, LSD mit R = N(C2H5)2, Ergometrin mit R = NH-(CH2)2-OH und Ergotamin (vergl. Abb. 2). Mutterkorn-Alkaloide

Mutterkorn-Alkaloide: Abb. 2. Biosynthese der Clavin- und Lysergsäurealkaloide in Claviceps purpurea. Der Stern markiert einander entsprechende C-Atome. Mutterkorn-Alkaloide

Wenn Sie inhaltliche Anmerkungen zu diesem Artikel haben, können Sie die Redaktion per E-Mail informieren. Wir lesen Ihre Zuschrift, bitten jedoch um Verständnis, dass wir nicht jede beantworten können.