Direkt zum Inhalt

Lexikon der Ernährung: Steroide

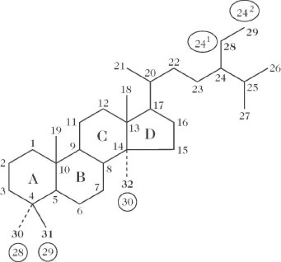
Steroide, Esteroids, Verbindungen, die sich von dem tetrazyklischen Kohlenwasserstoff Perhydro-1H-cyclo-penta[a]-phenanthren (Trivialname bei unbekannter Stereochemie Steran, bei trans-Stellung der Ringe B/C und C/D Gonan) ableiten (Abb.). Wichtige Gruppen natürlich vorkommender S. sind die Sterine, Gallensäuren, Steroidhormone und Cardenolide (herzwirksame Glycoside) sowie verschiedene N-haltige S. (Steroidalkaloide). Zu den S. gehören ferner zahlreiche Sapogenine (Saponine). Von den zahlreichen synthetischen S. haben z. B. die Ovulationshemmer, die Anabolika und zahlreiche weitere strukturmodifizierte Steroidhormone große pharmakologische Bedeutung.


Steroide: Ringnomenklatur und Nummerierung der Kohlenstoffatome im Steroidmolekül. In den Ellipsen angezeigte Nummern entsprechen der IUPAC-Empfehlung von 1989, fettgedruckte der zuvor gültigen von 1969. Alle anderen Nummerierungen blieben unverändert. Steroide
  • Die Autoren

Albus, Christian, Dr., Köln
Alexy, Ute, Dr., Witten
Anastassiades, Alkistis, Ravensburg
Biesalski, Hans Konrad, Prof. Dr., Stuttgart-Hohenheim
Brombach, Christine, Dr., Gießen
Bub, Achim, Dr., Karlsruhe
Daniel, Hannelore, Prof. Dr., Weihenstephan
Dorn, Prof. Dr., Jena
Empen, Klaus, Dr., München
Falkenburg, Patricia, Dr., Pulheim
Finkewirth-Zoller, Uta, Kerpen-Buir
Fresemann, Anne Georga, Dr., Biebertal-Frankenbach
Frenz, Renate, Ratingen
Gehrmann-Gödde, Susanne, Bonn
Geiss, Christian, Dr., München
Glei, Michael, Dr., Jena (auch BA)
Greiner, Ralf, Dr., Karlsruhe
Heine, Willi, Prof. Dr., Rostock
Hiller, Karl, Prof. Dr., Berlin (BA)
Jäger, Lothar, Prof. Dr., Jena
Just, Margit, Wolfenbüttel
Kersting, Mathilde, Dr., Dortmund
Kirchner, Vanessa, Reiskirchen
Kluthe, Bertil, Dr., Bad Rippoldsau
Kohlenberg-Müller, Kathrin, Prof. Dr., Fulda
Kohnhorst, Marie-Luise, Bonn
Köpp, Werner, Dr., Berlin
Krück, Elke, Gießen
Kulzer, Bernd, Bad Mergentheim
Küpper, Claudia, Dr., Köln
Laubach, Ester, Dr., München
Lehmkühler, Stephanie, Gießen
Leitzmann, Claus, Prof. Dr., Gießen
Leonhäuser, Ingrid-Ute, Prof. Dr., Gießen
Lück, Erich, Dr., Bad Soden am Taunus
Lutz, Thomas A., Dr., Zürich
Maid-Kohnert, Udo, Dr., Pohlheim
Maier, Hans Gerhard, Prof. Dr., Braunschweig
Matheis, Günter, Dr., Holzminden (auch BA)
Moch, Klaus-Jürgen, Dr., Gießen
Neuß, Britta, Erftstadt
Niedenthal, Renate, Hannover
Noack, Rudolf, Prof. Dr., Potsdam-Rehbrücke
Oberritter, Helmut, Dr., Bonn
Öhrig, Edith, Dr., München
Otto, Carsten, Dr., München
Parhofer, K., Dr., München
Petutschnig, Karl, Oberhaching
Pfau, Cornelie, Dr., Karlsruhe
Pfitzner, Inka, Stuttgart-Hohenheim
Pool-Zobel, Beatrice, Prof. Dr., Jena
Raatz, Ulrich, Prof. Dr., Düsseldorf
Rauh, Michael, Bad Rippoldsau
Rebscher, Kerstin, Karlsruhe
Roser, Silvia, Karlsruhe
Schek, Alexandra, Dr., Gießen
Schemann, Michael, Prof. Dr., Hannover (auch BA)
Schiele, Karin, Dr., Heilbronn
Schmid, Almut, Dr., Paderborn
Schmidt, Sabine, Dr., Gießen
Scholz, Vera, Dr., Langenfeld
Schorr-Neufing, Ulrike, Dr., Berlin
Schwandt, Peter, Prof. Dr., München
Sendtko, Andreas, Dr., Gundelfingen
Stangl, Gabriele, Dr. Dr., Weihenstephan
Stehle, Peter, Prof. Dr., Bonn
Stein, Jürgen, Prof. Dr. Dr., Frankfurt
Steinmüller, Rolf, Dr., Biebertal
Stremmel, Helga, Bad Rippoldsau
Ulbricht, Gottfried, Dr., Potsdam-Rehbrücke
Vieths, Stephan, Dr., Langen
Wächtershäuser, Astrid, Frankfurt
Wahrburg, Ursel, Prof. Dr., Münster
Weiß, Claudia, Karlsruhe
Wienken, Elisabeth, Neuss
Wisker, Elisabeth, Dr., Kiel
Wolter, Freya, Frankfurt
Zunft, Hans-Joachim F., Prof. Dr., Potsdam-Rehbrücke

Schreiben Sie uns!

Wenn Sie inhaltliche Anmerkungen zu diesem Artikel haben, können Sie die Redaktion per E-Mail informieren. Wir lesen Ihre Zuschrift, bitten jedoch um Verständnis, dass wir nicht jede beantworten können.

Partnerinhalte

Bitte erlauben Sie Javascript, um die volle Funktionalität von Spektrum.de zu erhalten.