Lexikon der Ernährung: Umami
Umami, Eumami, sensorischer Eindruck. U. ist japanisch und lässt sich am ehesten mit Schmackhaftigkeit (Epalatability), Saftfülle oder Köstlichkeit übersetzen. 1908 brachte der Japaner Ikeda den geschmacksverbessernden Effekt von Seetang mit Glutaminsäure in Verbindung und nannte den Effekt U. Laut Literatur haben Verbindungen, die einen U.-Effekt auslösen, keine verstärkende Wirkung auf die vier Grundgeschmackseindrücke süß, sauer, salzig und bitter. Daher betonen einige (insbesondere japanische) Autoren die Vorstellung, dass U. der fünfte Grundgeschmackseindruck sei. Das steht im Widerspruch zu den beobachteten Tatsachen, dass U.-Substanzen sehr wohl Geschmackseindrücke verstärken. Natriumglutamat, die bekannteste U.-Verbindung, besitzt Strukturelemente, die alle vier Grundgeschmacksqualitäten hervorrufen (und damit auch verstärken) könnten. Wie nun U.-Substanzen die Schmackhaftigkeit von Lebensmitteln verbessern, ist noch weitgehend unklar.
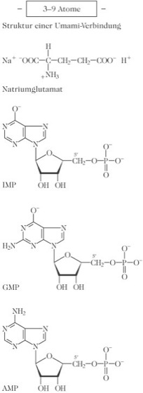
Zu den wichtigsten U.-Verbindungen zählen die Salze der Glutaminsäure (allen voran Natriumglutamat) und die Dinatriumsalze der Purin-5‘-monophosphate, vor allem Inosin-5‘-monophosphat (IMP) und Guanosin-5‘-monophosphat (GMP).
Eine U.-Verbindung hat zwei negative Ladungen, die 3–9 (vorzugsweise 4–6) Kohlenstoff- oder andere Atome voneinander entfernt liegen (Abb.). Dieser Bedingung genügen Natriumglutamat, IMP und GMP vollauf. Dagegen hat Adenosin-5‘-monophosphat (AMP) nur an einem Molekülende eine negative Ladung, während am anderen Molekülende statt einer Ladung eine Aminogruppe sitzt (Abb.). Das äußert sich darin, dass die U.-Wirkung von AMP bedeutend geringer ist.
U.-Substanzen zählen zu den Flavor-modifizierenden Substanzen.
Umami: Strukturmerkmale von Umami-Verbindungen. Umami

Wenn Sie inhaltliche Anmerkungen zu diesem Artikel haben, können Sie die Redaktion per E-Mail informieren. Wir lesen Ihre Zuschrift, bitten jedoch um Verständnis, dass wir nicht jede beantworten können.