Direkt zum Inhalt

Lexikon der Geographie: Autokorrelationskoeffizient

Autokorrelationskoeffizient, statistischer Parameter zur Messung der Autokorrelation innerhalb einer Variablen ( Abb. 1). Je nachdem ob die Variable eine Zeitreihe oder eine Raumreihe ist bzw. einen raum-zeit-varianten Prozess repräsentiert, werden zeitliche, räumliche oder raum-zeitliche Autokorrelationskoeffizienten verwendet. Die Berechnung dieser Koeffizienten setzt die Stationarität der Variablen voraus.
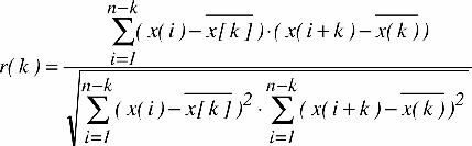
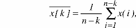
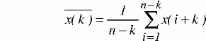
Zur Messung der zeitlichen Autokorrelation der Zeitschrittweite k (k=1, 2, ...) der Zeitreihe X(t) (t=Zeitpunkt) wird in der Regel der zeitliche Autokorrelationskoeffizient r(k):



mit:





verwendet.
r(k) misst, ob und wie stark der gegenwärtige Zustand der Variablen von demjenigen von vor k Zeitpunkten beeinflusst wird ( Abb. 2).
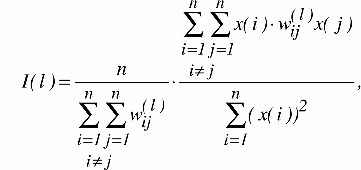
Ist bei einer Zeitreihe die Wirkungsrichtung (vorher-nachher) eindeutig festgelegt, so ist dieses bei raum-varianten Variablen X(i) (i=Raumeinheit), sog. Raumreihen, nicht a priori der Fall und es muss zunächst das Nachbarschaftssystem festgelegt werden ( Abb. 3). Bei den räumlichen Autokorrelationskoeffizienten I(l) nach Moran bzw. c(l) nach Geary der Raumschrittweite l (l=1, 2, ...) erfolgt dieses in sog. Nachbarschaftsmatrizen W(l) der Ordnung l, in denen die Nachbarn der Ordnung l (= erste, zweitnächste, ... Nachbarn) festgelegt sind. Allgemein haben diese Nachbarschaftsmatrizen die Form:
W(l)≈(wij(l))
mit wij(l)=0, falls i und j Nachbarn der Ordnung l sind.
Die räumlichen Autokorrelationskoeffizienten definieren sich dann allgemein als:





Eine weitere Möglichkeit Autokorrelationen zu bestimmen bietet das Variogramm. Bei dieser Methode wird Nachbarschaft allein über die metrische Entfernung (und die Richtung) zwischen Raumpunkten bestimmt.
In der Geographie erfolgt die Messung der raum-zeitlichen Autokorrelation der Zeitschrittweite k und der Raumschrittweite l für die raum-zeit-variante Variable X(i,t) in der Regel durch den raum-zeitlichen Autokorrelationskoeffizienten R(k,l), der im Prinzip eine Kombination von r(k) und von I(l) darstellt.
Die Koeffizienten zur Messung räumlicher bzw. raum-zeitlicher Autokorrelation gehören zu den Methoden der Geostatistik.

JN


Autokorrelationskoeffizient 1: Autokorrelationskoeffizient 1: Autokorrelationsfunktion in unterschiedlichen Zeitreihen: a) benachbarte Werte ähnlich; b) benachbarte Werte alternierend; c) benachbarte Werte zufällig verteilt.

Autokorrelationskoeffizient 2: Autokorrelationskoeffizient 2: Bestimmung von "normaler" Korrelation und zeitlicher Autokorrelation.

Autokorrelationskoeffizient 3: Autokorrelationskoeffizient 3: Mögliche Nachbarschaftskriterien im Raummodell "Schachbrett".
  • Die Autoren

Redaktion:
Dipl.-Geogr. Christiane Martin (Leitung)
Dipl.-Geogr. Dorothee Bürkle
Dipl.-Geol. Manfred Eiblmaier

Fachkoordinatoren und Herausgeber:
Prof. Dr. Ernst Brunotte (Physische Geographie)
Prof. Dr. Hans Gebhardt (Humangeographie)
Prof. Dr. Manfred Meurer (Physische Geographie)
Prof. Dr. Peter Meusburger (Humangeographie)
Prof. Dr. Josef Nipper (Methodik)

Autorinnen und Autoren:
Prof. Dr. Patrick Armstrong, Perth (Australien) [PA]
Kurt Baldenhofer, Friedrichshafen [KB]
Prof. Dr. Yoram Bar-Gal, Haifa (Israel) [YBG]
Prof. Dr. Christoph Becker, Trier [CB]
Prof. Dr. Carl Beierkuhnlein, Rostock [CBe]
Prof. Dr. Jörg Bendix, Marburg [JB]
Dr. Markus Berger, Braunschweig [MB]
Prof. Dr. Helga Besler, Köln [HBe]
Prof. Dr. Hans Heinrich Blotevogel, Duisburg [HHB]
Dipl.-Geogr. Oliver Bödeker, Köln [OBö]
Prof. Dr. Hans Böhm, Bonn [HB]
Dr. Hans Jürgen Böhmer, München [HJB]
Dr. Thomas Breitbach, Köln [TB]
Dr. Heinz Peter Brogiato, Leipzig [HPB]
Prof. Dr. Ernst Brunotte, Köln [EB]
Dr. Olaf Bubenzer, Köln [OB]
Dipl.-Geogr. Dorothee Bürkle, Köln [DBü]
Prof. Dr. Detlef Busche, Würzburg [DB]
Dr. Tillmann Buttschardt, Karlsruhe [TBu]
Dr. Thomas Christiansen, Gießen [TC]
Dr. Martin Coy, Tübingen [MC]
Prof. Dr. Ulrich Deil, Freiburg [UD]
Prof. Dr. Jürgen Deiters, Osnabrück [JD]
Dr. Klaus Dodds, London [KD]
Prof. Dr. Heiner Dürr, Bochum [HD]
Dirk Dütemeyer, Essen [DD]
PD Dr. Rainer Duttmann, Hannover [RD]
Dipl.-Geogr. Susanne Eder, Basel [SE]
Dr. Jürgen Ehlers, Hamburg [JE]
Dipl.-Geol. Manfred Eiblmaier, Köln [ME]
Dr. Hajo Eicken, Fairbanks (USA) [HE]
Dr. Wolf-Dieter Erb, Gießen [WE]
Dr. Heinz-Hermann Essen, Hamburg [HHE]
Dr. Heinz-Hermann Essen, Hamburg [HHE]
Dr. Eberhard Fahrbach, Bremerhaven [EF]
Prof. Dr. Heinz Faßmann, Wien [HF]
Prof. Dr. Peter Felix-Henningsen, Gießen [PF]
Beate Feuchte, Berlin [BF]
Robert Fischer M.A., Frankfurt a.M. [RF]
Prof. Dr. Otto Fränzle, Kiel [OF]
Tim Freytag, Heidelberg [TM]
Dr. Heinz-W. Friese, Berlin [HWF]
Dr. Martina Fromhold-Eisebith, Seibersdorf [MFE]
Prof. Dr. Wolf Gaebe, Stuttgart [WG]
Dr. Werner Gamerith, Heidelberg [WGa]
Prof. Dr. Paul Gans, Mannheim [PG]
Prof. Dr. Hans Gebhardt, Heidelberg [HG]
Prof. Dr. Gerd Geyer, Würzburg [GG]
Prof. Dr. Rüdiger Glaser, Heidelberg [RGl]
Prof. Dr. Rainer Glawion, Freiburg i. Br. [RG]
Dr.-Ing. Konrad Großer, Leipzig [KG]
Mario Günter, Heidelberg [MG]
Prof. Dr. Wolfgang Haber, München [WHa]
Prof. Dr. Jürgen Hagedorn, Göttingen [JH]
Dr. Werner Arthur Hanagarth, Karlsruhe [WH]
Dr. Martin Hartenstein, Karlsruhe [MHa]
Prof. Dr. Ingrid Hemmer, Eichstädt [ICH]
Prof. Dr. Gerhard Henkel, Essen [GH]
Prof. Dr. Reinhard Henkel, Heidelberg [RH]
Dipl.-Geogr. Sven Henschel, Berlin [SH]
Prof. Dr. Bruno Hildenbrand, Jena [BH]
Dr. Hubert Höfer, Karlsruhe [HH]
Prof. Dr. Karl Hofius, Boppard [KHo]
Prof. Dr. Karl Hoheisel, Bonn [KH]
Prof. Dr. Hans Hopfinger, Eichstätt [HHo]
Michael Hoyler, Heidelberg [MH]
Dipl.-Geogr. Thorsten Hülsmann, Bonn [TH]
Ina Ihben, Köln [II]
Prof. Dr. Jucundus Jacobeit, Würzburg [JJ]
Dipl.-Geogr. Ingrid Jacobsen, Berlin [IJ]
Prof. Dr. Martin Jänicke, Berlin [MJ]
Dr. Jörg Janzen, Berlin [JJa]
PD Dr. Eckhard Jedicke, Bad Arolsen [EJ]
Dr. Hiltgund Jehle, Berlin [HJe]
Dr. Karin Jehn, Karlsruhe [KJ]
Prof. Dr. Hubert Job, München [HJo]
Dipl.-Geogr. Heike Jöns, Heidelberg [HJ]
Prof. Dr. Peter Jurczek, Jena [PJ]
Prof. Dr. Masahiro Kagami, Tokio [MK]
Prof. Dr. Andreas Kagermeier, Paderborn [AKa]
Dr. Daniela C. Kalthoff, Bonn [DCK]
Dr. Andrea Kampschulte, Basel [AKs]
Dr. Gerwin Kasperek, Gießen [GKa]
Prof. Dr. Dieter Kelletat, Essen [DK]
Prof. Dr. Franz-Josef Kemper, Berlin [FJK]
Farid El Kholi, Berlin [FE]
Dr. Günter Kirchberg, Speyer [GK]
Dr. Thomas Kistemann, Bonn [TK]
Prof. Dr. Dieter Klaus, Bonn [DKl]
Prof. Dr. Arno Kleber, Bayreuth [AK]
Prof. Dr. Hans-Jürgen Klink, Bochum [HJK]
Prof. Dr. Wolf Günther Koch [WK]
Dr. Franz Köhler, Gotha [FK]
Dipl.-Geogr. Bernhard Köppen, Chemnitz [BK]
Dipl.-Geogr. Kirsten Koop, Berlin [KK]
Prof. Dr. Christoph Kottmeier, Karlsruhe [CK]
Dr. Caroline Kramer, Heidelberg [CKr]
Dr. Klaus Kremling, Kiel [KKr]
Prof. Dr. Eberhard Kroß, Bochum [EKr]
Prof. Dr. Elmar Kulke, Berlin [EK]
Prof. Dr. Wilhelm Kuttler, Essen [WKu]
Dipl.-Geogr. Christian Langhagen-Rohrbach, Frankfurt a.M. [CLR]
Dr. Harald Leisch, Köln [HL]
Prof. Dr. Bärbel Leupolt, Hamburg [BL]
Prof. Dr. Hartmut Lichtenthaler, Karlsruhe [HLi]
Dipl.-Geogr.Christoph Mager, Heidelberg [CMa]
Dipl.-Geogr. Christiane Martin, Köln [CM]
Prof. Dr. Jörg Matschullat, Freiberg [JMt]
Prof. Dr. Alois Mayr, Leipzig [AMa]
Dipl.-Geogr. Heidi Megerle, Schlaitdorf [HM]
Dr. Andreas Megerle, Tübingen [AM]
Dipl.-Geogr. Astrid Mehmel, Bonn [AMe]
Prof. Dr. Jens Meincke, Hamburg [JM]
Dipl. Geogr. Klaus Mensing, Hamburg [KM]
Dipl.-Geogr. Klaus Mensing, Hamburg [KM]
Dipl.-Geogr. Rita Merckele, Berlin [RM]
Prof. Dr. Manfred Meurer, Karlsruhe [MM]
Prof. Dr. Peter Meusburger, Heidelberg [PM]
Prof. Dr. Georg Miehe, Marburg [GM]
Prof. Dr. Werner Mikus, Heidelberg [WM]
Prof. Dr. Thomas Mosimann, Hannover [TM]
Renate Müller, Berlin [RMü]
PD Dr. Hans-Nikolaus Müller, Luzern [HNM]
Prof. Dr. Detlef Müller-Mahn, Bayreuth [DM]
Prof. Dr. Heinz Musall, Gaiberg [HMu]
Prof. Dr. Frank Norbert Nagel, Hamburg [FNN]
Dipl.-Geogr. Martina Neuburger, Tübingen [MN]
Dipl.-Geogr. Peter Neumann, Münster [PN]
Prof. Dr. Jürgen Newig, Kiel [JNe]
Prof. Dr. Josef Nipper, Köln [JN]
Prof. Dr. Helmut Nuhn, Marburg [HN]
Dr. Ludwig Nutz, München [LN]
Prof. Dr. Jürgen Oßenbrügge, Hamburg [JO]
Dipl.-Geogr. Maren Ott, Frankfurt a.M. [MO]
Prof. Dr. Karl-Heinz Pfeffer, Tübingen [KP]
Dipl.-Geogr. Michael Plattner, Marburg [MP]
Dipl.-Geogr. Martin Pöhler, Tübingen [MaP]
Prof. Dr. Karl-Heinz Pörtge, Göttingen [KHP]
Prof. Dr. Jürgen Pohl, Bonn [JPo]
Prof. Dr. Ferenc Probáld, Budapest [FP]
PD Dr. Paul Reuber, Münster [PR]
Dipl.-Bibl. Sabine Richter, Bonn [SR]
Prof. Dr. Otto Richter, Braunschweig [OR]
Prof. Dr. Michael Richter, Erlangen [MR]
Prof. Dr. Gisbert Rinschede, Regensburg [GR]
Gerd Rothenwallner, Frankfurt a.M. [GRo]
Dr. Klaus Sachs, Heidelberg [KS]
Prof. Dr. Wolf-Dietrich Sahr, Curitiba (Brasilien) [WDS]
Dr. Heinz Sander, Köln [HS]
Dipl.-Geogr. Bruno Schelhaas, Leipzig [BSc]
Dipl.-Geogr. Jens Peter Scheller, Frankfurt a.M. [JPS]
Prof. Dr. Winfried Schenk, Tübingen [WS]
Dr. Arnold Scheuerbrandt, Heidelberg [AS]
Dipl.-Geogr. Heiko Schmid, Heidelberg [HSc]
Prof. Dr. Konrad Schmidt, Heidelberg [KoS]
Prof. Dr. Thomas Schmitt, Bochum [TSc]
PD Dr. Elisabeth Schmitt, Gießen [ES]
Prof. Dr. Jürgen Schmude, Regensburg [JSc]
Prof. Dr. Rita Schneider-Sliwa, Basel [RS]
Dr. Peter Schnell, Münster [PSch]
Dr. Thomas Scholten, Gießen [ThS]
Prof. Dr. Karl-Friedrich Schreiber, Münster [KFS]
Dipl.-Geogr. Thomas Schwan, Heidelberg [TS]
Prof. Dr. Jürgen Schweikart, Berlin [JüS]
Dr. Franz Schymik, Frankfurt a.M. [FS]
Prof. Dr. Peter Sedlacek, Jena [PS]
Prof. Dr. Günter Seeber, Hannover [GSe]
Prof. Dr. Martin Seger, Klagenfurt [MS]
Nicola Sekler, Tübingen [NSe]
Dr. Max Seyfried, Karlsruhe [MSe]
Christoph Spieker M.A., Bonn [CS]
Prof. Dr. Jürgen Spönemann, Bovenden [JS]
PD Dr. Barbara Sponholz, Würzburg [BS]
Prof. Dr. Albrecht Steinecke, Paderborn [ASte]
Prof. Dr. Wilhelm Steingrube, Greifswald [WSt]
Dr. Ingrid Stengel, Würzburg [IS]
Dipl.-Geogr. Anke Strüver, Nijmwegen [ASt]
Prof. Dr. Dietbert Thannheiser, Hamburg [DT]
Prof. Dr. Uwe Treter, Erlangen [UT]
Prof. Dr. Konrad Tyrakowski, Eichstätt [KT]
Alexander Vasudevan, MA, Vancouver [AV]
Martin Vogel, Tübingen [MV]
Prof. Dr. Joachim Vogt, Berlin [JVo]
Dr. Joachim Vossen, Regensburg [JV]
Dr. Ute Wardenga, Leipzig [UW]
Prof. Dr. Bernd Jürgen Warneken, Tübingen [BJW]
Dipl.-Geogr. Reinhold Weinmann, Heidelberg [RW]
Prof. Dr. Benno Werlen, Jena [BW]
Dr. Karin Wessel, Berlin [KWe]
Dr. Stefan Winkler, Trier [SW]
Prof. Dr. Klaus Wolf, Frankfurt a.M. [KW]
Dr. Volker Wrede, Krefeld [VW]

Grafik:
Mathias Niemeyer (Leitung)
Ulrike Lohoff-Erlenbach
Stephan Meyer

Schreiben Sie uns!

Wenn Sie inhaltliche Anmerkungen zu diesem Artikel haben, können Sie die Redaktion per E-Mail informieren. Wir lesen Ihre Zuschrift, bitten jedoch um Verständnis, dass wir nicht jede beantworten können.

Partnerinhalte

Bitte erlauben Sie Javascript, um die volle Funktionalität von Spektrum.de zu erhalten.