Direkt zum Inhalt

Lexikon der Geographie: geostrophischer Wind

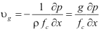
geostrophischer Wind, υg, isobarenparalleler Wind (Höhenströmung), der sich außerhalb des Einflusses der Reibung der Erdoberfläche in einem Luftdruckfeld mit parallel verlaufenden Isobaren einstellt, wenn sich Gradient- und Corioliskraft im Gleichgewicht befinden.



in [m/s] mit ρ=Luftdichte [kg/m3], fC=Coriolis-Parameter (Corioliskraft), ∂p/∂x=partieller Differenzialquotient (d.h. Änderung) des Luftdrucks p [hPa] nach der Entfernung x [m] und g=Schwerebeschleunigung [m/s2] ( Abb.). Als Modifikationen des geostrophischen Windes treten der zyklostrophische Wind (zyklostrophische Strömung) bei gekrümmten Isobaren und der ageostrophische Wind bei Reibungseinfluss auf.


geostrophischer Wind: geostrophischer Wind: Kräftevektoren beim geostrophischen Wind (υ=Wind, G=Gradientkraft, C=Corioliskraft, T=Tiefdruckgebiet, H=Hochdruckgebiet).
  • Die Autoren

Redaktion:
Dipl.-Geogr. Christiane Martin (Leitung)
Dipl.-Geogr. Dorothee Bürkle
Dipl.-Geol. Manfred Eiblmaier

Fachkoordinatoren und Herausgeber:
Prof. Dr. Ernst Brunotte (Physische Geographie)
Prof. Dr. Hans Gebhardt (Humangeographie)
Prof. Dr. Manfred Meurer (Physische Geographie)
Prof. Dr. Peter Meusburger (Humangeographie)
Prof. Dr. Josef Nipper (Methodik)

Autorinnen und Autoren:
Prof. Dr. Patrick Armstrong, Perth (Australien) [PA]
Kurt Baldenhofer, Friedrichshafen [KB]
Prof. Dr. Yoram Bar-Gal, Haifa (Israel) [YBG]
Prof. Dr. Christoph Becker, Trier [CB]
Prof. Dr. Carl Beierkuhnlein, Rostock [CBe]
Prof. Dr. Jörg Bendix, Marburg [JB]
Dr. Markus Berger, Braunschweig [MB]
Prof. Dr. Helga Besler, Köln [HBe]
Prof. Dr. Hans Heinrich Blotevogel, Duisburg [HHB]
Dipl.-Geogr. Oliver Bödeker, Köln [OBö]
Prof. Dr. Hans Böhm, Bonn [HB]
Dr. Hans Jürgen Böhmer, München [HJB]
Dr. Thomas Breitbach, Köln [TB]
Dr. Heinz Peter Brogiato, Leipzig [HPB]
Prof. Dr. Ernst Brunotte, Köln [EB]
Dr. Olaf Bubenzer, Köln [OB]
Dipl.-Geogr. Dorothee Bürkle, Köln [DBü]
Prof. Dr. Detlef Busche, Würzburg [DB]
Dr. Tillmann Buttschardt, Karlsruhe [TBu]
Dr. Thomas Christiansen, Gießen [TC]
Dr. Martin Coy, Tübingen [MC]
Prof. Dr. Ulrich Deil, Freiburg [UD]
Prof. Dr. Jürgen Deiters, Osnabrück [JD]
Dr. Klaus Dodds, London [KD]
Prof. Dr. Heiner Dürr, Bochum [HD]
Dirk Dütemeyer, Essen [DD]
PD Dr. Rainer Duttmann, Hannover [RD]
Dipl.-Geogr. Susanne Eder, Basel [SE]
Dr. Jürgen Ehlers, Hamburg [JE]
Dipl.-Geol. Manfred Eiblmaier, Köln [ME]
Dr. Hajo Eicken, Fairbanks (USA) [HE]
Dr. Wolf-Dieter Erb, Gießen [WE]
Dr. Heinz-Hermann Essen, Hamburg [HHE]
Dr. Heinz-Hermann Essen, Hamburg [HHE]
Dr. Eberhard Fahrbach, Bremerhaven [EF]
Prof. Dr. Heinz Faßmann, Wien [HF]
Prof. Dr. Peter Felix-Henningsen, Gießen [PF]
Beate Feuchte, Berlin [BF]
Robert Fischer M.A., Frankfurt a.M. [RF]
Prof. Dr. Otto Fränzle, Kiel [OF]
Tim Freytag, Heidelberg [TM]
Dr. Heinz-W. Friese, Berlin [HWF]
Dr. Martina Fromhold-Eisebith, Seibersdorf [MFE]
Prof. Dr. Wolf Gaebe, Stuttgart [WG]
Dr. Werner Gamerith, Heidelberg [WGa]
Prof. Dr. Paul Gans, Mannheim [PG]
Prof. Dr. Hans Gebhardt, Heidelberg [HG]
Prof. Dr. Gerd Geyer, Würzburg [GG]
Prof. Dr. Rüdiger Glaser, Heidelberg [RGl]
Prof. Dr. Rainer Glawion, Freiburg i. Br. [RG]
Dr.-Ing. Konrad Großer, Leipzig [KG]
Mario Günter, Heidelberg [MG]
Prof. Dr. Wolfgang Haber, München [WHa]
Prof. Dr. Jürgen Hagedorn, Göttingen [JH]
Dr. Werner Arthur Hanagarth, Karlsruhe [WH]
Dr. Martin Hartenstein, Karlsruhe [MHa]
Prof. Dr. Ingrid Hemmer, Eichstädt [ICH]
Prof. Dr. Gerhard Henkel, Essen [GH]
Prof. Dr. Reinhard Henkel, Heidelberg [RH]
Dipl.-Geogr. Sven Henschel, Berlin [SH]
Prof. Dr. Bruno Hildenbrand, Jena [BH]
Dr. Hubert Höfer, Karlsruhe [HH]
Prof. Dr. Karl Hofius, Boppard [KHo]
Prof. Dr. Karl Hoheisel, Bonn [KH]
Prof. Dr. Hans Hopfinger, Eichstätt [HHo]
Michael Hoyler, Heidelberg [MH]
Dipl.-Geogr. Thorsten Hülsmann, Bonn [TH]
Ina Ihben, Köln [II]
Prof. Dr. Jucundus Jacobeit, Würzburg [JJ]
Dipl.-Geogr. Ingrid Jacobsen, Berlin [IJ]
Prof. Dr. Martin Jänicke, Berlin [MJ]
Dr. Jörg Janzen, Berlin [JJa]
PD Dr. Eckhard Jedicke, Bad Arolsen [EJ]
Dr. Hiltgund Jehle, Berlin [HJe]
Dr. Karin Jehn, Karlsruhe [KJ]
Prof. Dr. Hubert Job, München [HJo]
Dipl.-Geogr. Heike Jöns, Heidelberg [HJ]
Prof. Dr. Peter Jurczek, Jena [PJ]
Prof. Dr. Masahiro Kagami, Tokio [MK]
Prof. Dr. Andreas Kagermeier, Paderborn [AKa]
Dr. Daniela C. Kalthoff, Bonn [DCK]
Dr. Andrea Kampschulte, Basel [AKs]
Dr. Gerwin Kasperek, Gießen [GKa]
Prof. Dr. Dieter Kelletat, Essen [DK]
Prof. Dr. Franz-Josef Kemper, Berlin [FJK]
Farid El Kholi, Berlin [FE]
Dr. Günter Kirchberg, Speyer [GK]
Dr. Thomas Kistemann, Bonn [TK]
Prof. Dr. Dieter Klaus, Bonn [DKl]
Prof. Dr. Arno Kleber, Bayreuth [AK]
Prof. Dr. Hans-Jürgen Klink, Bochum [HJK]
Prof. Dr. Wolf Günther Koch [WK]
Dr. Franz Köhler, Gotha [FK]
Dipl.-Geogr. Bernhard Köppen, Chemnitz [BK]
Dipl.-Geogr. Kirsten Koop, Berlin [KK]
Prof. Dr. Christoph Kottmeier, Karlsruhe [CK]
Dr. Caroline Kramer, Heidelberg [CKr]
Dr. Klaus Kremling, Kiel [KKr]
Prof. Dr. Eberhard Kroß, Bochum [EKr]
Prof. Dr. Elmar Kulke, Berlin [EK]
Prof. Dr. Wilhelm Kuttler, Essen [WKu]
Dipl.-Geogr. Christian Langhagen-Rohrbach, Frankfurt a.M. [CLR]
Dr. Harald Leisch, Köln [HL]
Prof. Dr. Bärbel Leupolt, Hamburg [BL]
Prof. Dr. Hartmut Lichtenthaler, Karlsruhe [HLi]
Dipl.-Geogr.Christoph Mager, Heidelberg [CMa]
Dipl.-Geogr. Christiane Martin, Köln [CM]
Prof. Dr. Jörg Matschullat, Freiberg [JMt]
Prof. Dr. Alois Mayr, Leipzig [AMa]
Dipl.-Geogr. Heidi Megerle, Schlaitdorf [HM]
Dr. Andreas Megerle, Tübingen [AM]
Dipl.-Geogr. Astrid Mehmel, Bonn [AMe]
Prof. Dr. Jens Meincke, Hamburg [JM]
Dipl. Geogr. Klaus Mensing, Hamburg [KM]
Dipl.-Geogr. Klaus Mensing, Hamburg [KM]
Dipl.-Geogr. Rita Merckele, Berlin [RM]
Prof. Dr. Manfred Meurer, Karlsruhe [MM]
Prof. Dr. Peter Meusburger, Heidelberg [PM]
Prof. Dr. Georg Miehe, Marburg [GM]
Prof. Dr. Werner Mikus, Heidelberg [WM]
Prof. Dr. Thomas Mosimann, Hannover [TM]
Renate Müller, Berlin [RMü]
PD Dr. Hans-Nikolaus Müller, Luzern [HNM]
Prof. Dr. Detlef Müller-Mahn, Bayreuth [DM]
Prof. Dr. Heinz Musall, Gaiberg [HMu]
Prof. Dr. Frank Norbert Nagel, Hamburg [FNN]
Dipl.-Geogr. Martina Neuburger, Tübingen [MN]
Dipl.-Geogr. Peter Neumann, Münster [PN]
Prof. Dr. Jürgen Newig, Kiel [JNe]
Prof. Dr. Josef Nipper, Köln [JN]
Prof. Dr. Helmut Nuhn, Marburg [HN]
Dr. Ludwig Nutz, München [LN]
Prof. Dr. Jürgen Oßenbrügge, Hamburg [JO]
Dipl.-Geogr. Maren Ott, Frankfurt a.M. [MO]
Prof. Dr. Karl-Heinz Pfeffer, Tübingen [KP]
Dipl.-Geogr. Michael Plattner, Marburg [MP]
Dipl.-Geogr. Martin Pöhler, Tübingen [MaP]
Prof. Dr. Karl-Heinz Pörtge, Göttingen [KHP]
Prof. Dr. Jürgen Pohl, Bonn [JPo]
Prof. Dr. Ferenc Probáld, Budapest [FP]
PD Dr. Paul Reuber, Münster [PR]
Dipl.-Bibl. Sabine Richter, Bonn [SR]
Prof. Dr. Otto Richter, Braunschweig [OR]
Prof. Dr. Michael Richter, Erlangen [MR]
Prof. Dr. Gisbert Rinschede, Regensburg [GR]
Gerd Rothenwallner, Frankfurt a.M. [GRo]
Dr. Klaus Sachs, Heidelberg [KS]
Prof. Dr. Wolf-Dietrich Sahr, Curitiba (Brasilien) [WDS]
Dr. Heinz Sander, Köln [HS]
Dipl.-Geogr. Bruno Schelhaas, Leipzig [BSc]
Dipl.-Geogr. Jens Peter Scheller, Frankfurt a.M. [JPS]
Prof. Dr. Winfried Schenk, Tübingen [WS]
Dr. Arnold Scheuerbrandt, Heidelberg [AS]
Dipl.-Geogr. Heiko Schmid, Heidelberg [HSc]
Prof. Dr. Konrad Schmidt, Heidelberg [KoS]
Prof. Dr. Thomas Schmitt, Bochum [TSc]
PD Dr. Elisabeth Schmitt, Gießen [ES]
Prof. Dr. Jürgen Schmude, Regensburg [JSc]
Prof. Dr. Rita Schneider-Sliwa, Basel [RS]
Dr. Peter Schnell, Münster [PSch]
Dr. Thomas Scholten, Gießen [ThS]
Prof. Dr. Karl-Friedrich Schreiber, Münster [KFS]
Dipl.-Geogr. Thomas Schwan, Heidelberg [TS]
Prof. Dr. Jürgen Schweikart, Berlin [JüS]
Dr. Franz Schymik, Frankfurt a.M. [FS]
Prof. Dr. Peter Sedlacek, Jena [PS]
Prof. Dr. Günter Seeber, Hannover [GSe]
Prof. Dr. Martin Seger, Klagenfurt [MS]
Nicola Sekler, Tübingen [NSe]
Dr. Max Seyfried, Karlsruhe [MSe]
Christoph Spieker M.A., Bonn [CS]
Prof. Dr. Jürgen Spönemann, Bovenden [JS]
PD Dr. Barbara Sponholz, Würzburg [BS]
Prof. Dr. Albrecht Steinecke, Paderborn [ASte]
Prof. Dr. Wilhelm Steingrube, Greifswald [WSt]
Dr. Ingrid Stengel, Würzburg [IS]
Dipl.-Geogr. Anke Strüver, Nijmwegen [ASt]
Prof. Dr. Dietbert Thannheiser, Hamburg [DT]
Prof. Dr. Uwe Treter, Erlangen [UT]
Prof. Dr. Konrad Tyrakowski, Eichstätt [KT]
Alexander Vasudevan, MA, Vancouver [AV]
Martin Vogel, Tübingen [MV]
Prof. Dr. Joachim Vogt, Berlin [JVo]
Dr. Joachim Vossen, Regensburg [JV]
Dr. Ute Wardenga, Leipzig [UW]
Prof. Dr. Bernd Jürgen Warneken, Tübingen [BJW]
Dipl.-Geogr. Reinhold Weinmann, Heidelberg [RW]
Prof. Dr. Benno Werlen, Jena [BW]
Dr. Karin Wessel, Berlin [KWe]
Dr. Stefan Winkler, Trier [SW]
Prof. Dr. Klaus Wolf, Frankfurt a.M. [KW]
Dr. Volker Wrede, Krefeld [VW]

Grafik:
Mathias Niemeyer (Leitung)
Ulrike Lohoff-Erlenbach
Stephan Meyer

Schreiben Sie uns!

Wenn Sie inhaltliche Anmerkungen zu diesem Artikel haben, können Sie die Redaktion per E-Mail informieren. Wir lesen Ihre Zuschrift, bitten jedoch um Verständnis, dass wir nicht jede beantworten können.

Partnerinhalte

Bitte erlauben Sie Javascript, um die volle Funktionalität von Spektrum.de zu erhalten.