Direkt zum Inhalt

Lexikon der Geographie: Maßstab

Maßstab, allgemein das Größenverhältnis eines Modells zur Wirklichkeit, wobei geometrische Größen (Länge, Fläche, Volumen) zueinander oder zu statistischen Größen (Mengen) bzw. zu Messgrößen ins Verhältnis gesetzt werden.
1) Der Kartenmaßstab ist das lineare Verhältnis der Verkleinerung der Karte, d.h. des analogen (graphischen) oder digitalen Modells (s.u.), gegenüber dem Georaum. Aus folgenden Gründen ist der Maßstab einer Karte i.d.R. als Näherungswert zu verstehen: a) Die Verebnung der Oberfläche des Erdellipsoids ist nicht ohne Verzerrungen möglich. In den großen Maßstäben (s.u.) sind die Verzerrungen innerhalb eines Kartenblattes gering und für die meisten Anwendungen zu vernachlässigen. Hingegen gelten Maßstabsangaben kleinmaßstäbiger Karten – auch wenn nicht ausdrücklich vermerkt – nur in bestimmten Punkten oder Linien, z.B. für einen längentreuen Mittelmeridian. b) Die Generalisierung führt zu relativen Lageabweichungen des Modells Karte gegenüber der Wirklichkeit (besonders bei Verdrängung von Objekten, bei Liniengeneralisierung und Zusammenfassung). Auch diese Abweichungen sind umso größer, je kleiner der Kartenmaßstab ist. In thematischen Karten wird zudem häufig die klare Wiedergabe von Sachbeziehungen (z.B. durch Diagramme) gegenüber der exaktmaßstäblichen Lagedarstellung bevorzugt.
Die Angabe des Maßstabs M erfolgt in Karten numerisch und/oder graphisch. Eine Strecke s in der Karte wird in Form eines Bruches oder einer Proportion auf die ihr entsprechende Strecke S in der Natur (genaugenommen auf dem Ellipsoid) bezogen:



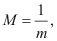
Allgemein wird jedoch s=1 gesetzt und die Entsprechung in der Natur als Maßstabszahl (Maßstabsfaktor) m angegeben:



z.B. 1:25.000, 1:6.000.000.
Eine u.U. anschaulichere Art der Maßstabsangabe legt ein rundes Naturmaß zugrunde, z.B. 1km, für das jeweils das Kartenmaß angegeben wird; 4cm im Falle von 1:25.000. In diesem Sinne sind die Begriffe 4cm-Karte, 2cm-Karte (1:50.000), 1cm-Karte (1:100.000) zu verstehen.
Nichtmetrische Maßstäbe beruhen auf alten oder ausländischen Längenmaßen, z.B. Zoll und Meile, aus denen sich häufig unrunde Maßstabszahlen ergeben, so 1:57.600, wenn 5 Zoll einer sächsichen Meile entsprechen. Graphisch wird der Maßstab als Maßstabsleiste (Maßstabsbalken) unterschiedlichster Ausführung dargestellt. In dieser Form ist er Hilfsmittel genauer Messung, dient aber zugleich der unmittelbaren Veranschaulichung des Verkleinerungsverhältnisses. Besonders in thematischen Karten wird zuweilen ein Flächenmaßstab in die Legende aufgenommen, der z.B. die Kartenfläche für 1 ha oder 1 km2 ausweist. Zu unterscheiden sind des Weiteren: a) der Aufnahmemaßstab als jener Maßstab, in dem eine topographische oder thematische Geländeaufnahme (Kartierung) ausgeführt wird, und b) der Ausgangs- und Folgemaßstab. Der kleinere Folgemaßstab wird durch Generalisierung aus dem größeren Ausgangsmaßstab abgeleitet. Bei weiterer Maßstabsreduzierung bzw. Generalisierung wird der vormalige Folgemaßstab zum Ausgangsmaßstab für den nächsten Folgemaßstab. Auf diese Weise entstehen die Maßstabsreihen topographischer und thematischer Kartenwerke (topographische Karten), deren größter Maßstab als Grundmaßstab bezeichnet wird.
Die Kartenmaßstäbe werden in Maßstabsbereiche unterteilt, d.h. in große (≥1:10.000), mittlere (1:25.000 bis 1 : 500.000) und kleineMaßstäbe (<1:500.000). Bei kleiner Maßstabszahl handelt es sich um einen großen, bei großer Maßstabszahl um einen kleinen Maßstab. Obige Einteilung kann sich von Land zu Land, aber auch zwischen den Fachbereichen unterscheiden. Besonders in der thematischen Kartographie wird das Autorenoriginal häufig in einem Arbeitsmaßstab (Arbeitskarte) angefertigt, der 120 bis 200% größer sein kann als der Herausgabemaßstab (auch Endmaßstab genannt).
Die Maßstabsbestimmung erfolgt anhand von Vergleichsstrecken in Karten bekannten Maßstabs nach der Formel:



wobei m=gesuchte Maßstabszahl, mb=bekannte Maßstabszahl, s=Strecke in der Karte, deren Maßstab gesucht ist, sb=Vergleichsstrecke in der Karte bekannten Maßstabs.
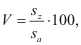
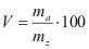
Die Maßstabsänderung wird in der Kartenherstellung, aber auch an Bürokopierern, in Prozent angegeben und kann berechnet werden nach:



bzw.



wobei V=Maßstabsänderung in Prozent, ma=Maßstabszahl des Ausgangsmaßstabs, mz=Maßstabszahl des Zielmaßstabs, sa=Strecke im Ausgangsmaßstab und sz=Strecke im Zielmaßstab. Für eine genaue Maßstabsberechnung empfiehlt es sich, mehrere längere Vergleichsstrecken zu verwenden.
In der digitalen Kartographie wird mitunter der Begriff der maßstabsfreien Datenbasis benutzt. Dieser drückt lediglich aus, dass sich der Maßstab der Geometriedaten intern oder bei der Ausgabe verändern (skalieren) lässt. Die Spannweite der sinnvollen Skalierung ist jedoch begrenzt. Eine zu starke Vergrößerung ergibt ein grobes Kartenbild. Die Ausgabe mit zunehmender Verkleinerung gerät bald in einen Bereich, der eine Generalisierung und damit die Veränderung der ursprünglichen Geometrie verlangt. Die korrekte Beschreibung kartographischer Daten enthält daher den Verweis auf den Erfassungs- bzw. Digitalisierungsmaßstab oder – im Falle von Rasterdaten – die Angabe ihrer Auflösung.
In Bildschirmkarten ist die graphische und numerische Maßstabsangabe möglich, die sich mit dem Zoomen verändert. Zu unterscheiden ist, ob beim Zoomen nur auf eine oder auf mehrere, verschiedenmaßstäbige Datenbasen zugegriffen wird.
2) Der Bildmaßstab ist definiert wie 1); seine Besonderheiten ergeben sich aus den aufnahmetechnisch bedingten Abbildungsgesetzen von Luftbildern (Zentralperspektive) und Satellitenbildern.
3) Der Wertmaßstab (Signaturmaßstab) stellt die geometrischen Größen (Länge, Fläche, seltener das scheinbare Volumen) der Kartenzeichen ins Verhältnis zu statistischen oder Messdaten.

KG

  • Die Autoren

Redaktion:
Dipl.-Geogr. Christiane Martin (Leitung)
Dipl.-Geogr. Dorothee Bürkle
Dipl.-Geol. Manfred Eiblmaier

Fachkoordinatoren und Herausgeber:
Prof. Dr. Ernst Brunotte (Physische Geographie)
Prof. Dr. Hans Gebhardt (Humangeographie)
Prof. Dr. Manfred Meurer (Physische Geographie)
Prof. Dr. Peter Meusburger (Humangeographie)
Prof. Dr. Josef Nipper (Methodik)

Autorinnen und Autoren:
Prof. Dr. Patrick Armstrong, Perth (Australien) [PA]
Kurt Baldenhofer, Friedrichshafen [KB]
Prof. Dr. Yoram Bar-Gal, Haifa (Israel) [YBG]
Prof. Dr. Christoph Becker, Trier [CB]
Prof. Dr. Carl Beierkuhnlein, Rostock [CBe]
Prof. Dr. Jörg Bendix, Marburg [JB]
Dr. Markus Berger, Braunschweig [MB]
Prof. Dr. Helga Besler, Köln [HBe]
Prof. Dr. Hans Heinrich Blotevogel, Duisburg [HHB]
Dipl.-Geogr. Oliver Bödeker, Köln [OBö]
Prof. Dr. Hans Böhm, Bonn [HB]
Dr. Hans Jürgen Böhmer, München [HJB]
Dr. Thomas Breitbach, Köln [TB]
Dr. Heinz Peter Brogiato, Leipzig [HPB]
Prof. Dr. Ernst Brunotte, Köln [EB]
Dr. Olaf Bubenzer, Köln [OB]
Dipl.-Geogr. Dorothee Bürkle, Köln [DBü]
Prof. Dr. Detlef Busche, Würzburg [DB]
Dr. Tillmann Buttschardt, Karlsruhe [TBu]
Dr. Thomas Christiansen, Gießen [TC]
Dr. Martin Coy, Tübingen [MC]
Prof. Dr. Ulrich Deil, Freiburg [UD]
Prof. Dr. Jürgen Deiters, Osnabrück [JD]
Dr. Klaus Dodds, London [KD]
Prof. Dr. Heiner Dürr, Bochum [HD]
Dirk Dütemeyer, Essen [DD]
PD Dr. Rainer Duttmann, Hannover [RD]
Dipl.-Geogr. Susanne Eder, Basel [SE]
Dr. Jürgen Ehlers, Hamburg [JE]
Dipl.-Geol. Manfred Eiblmaier, Köln [ME]
Dr. Hajo Eicken, Fairbanks (USA) [HE]
Dr. Wolf-Dieter Erb, Gießen [WE]
Dr. Heinz-Hermann Essen, Hamburg [HHE]
Dr. Heinz-Hermann Essen, Hamburg [HHE]
Dr. Eberhard Fahrbach, Bremerhaven [EF]
Prof. Dr. Heinz Faßmann, Wien [HF]
Prof. Dr. Peter Felix-Henningsen, Gießen [PF]
Beate Feuchte, Berlin [BF]
Robert Fischer M.A., Frankfurt a.M. [RF]
Prof. Dr. Otto Fränzle, Kiel [OF]
Tim Freytag, Heidelberg [TM]
Dr. Heinz-W. Friese, Berlin [HWF]
Dr. Martina Fromhold-Eisebith, Seibersdorf [MFE]
Prof. Dr. Wolf Gaebe, Stuttgart [WG]
Dr. Werner Gamerith, Heidelberg [WGa]
Prof. Dr. Paul Gans, Mannheim [PG]
Prof. Dr. Hans Gebhardt, Heidelberg [HG]
Prof. Dr. Gerd Geyer, Würzburg [GG]
Prof. Dr. Rüdiger Glaser, Heidelberg [RGl]
Prof. Dr. Rainer Glawion, Freiburg i. Br. [RG]
Dr.-Ing. Konrad Großer, Leipzig [KG]
Mario Günter, Heidelberg [MG]
Prof. Dr. Wolfgang Haber, München [WHa]
Prof. Dr. Jürgen Hagedorn, Göttingen [JH]
Dr. Werner Arthur Hanagarth, Karlsruhe [WH]
Dr. Martin Hartenstein, Karlsruhe [MHa]
Prof. Dr. Ingrid Hemmer, Eichstädt [ICH]
Prof. Dr. Gerhard Henkel, Essen [GH]
Prof. Dr. Reinhard Henkel, Heidelberg [RH]
Dipl.-Geogr. Sven Henschel, Berlin [SH]
Prof. Dr. Bruno Hildenbrand, Jena [BH]
Dr. Hubert Höfer, Karlsruhe [HH]
Prof. Dr. Karl Hofius, Boppard [KHo]
Prof. Dr. Karl Hoheisel, Bonn [KH]
Prof. Dr. Hans Hopfinger, Eichstätt [HHo]
Michael Hoyler, Heidelberg [MH]
Dipl.-Geogr. Thorsten Hülsmann, Bonn [TH]
Ina Ihben, Köln [II]
Prof. Dr. Jucundus Jacobeit, Würzburg [JJ]
Dipl.-Geogr. Ingrid Jacobsen, Berlin [IJ]
Prof. Dr. Martin Jänicke, Berlin [MJ]
Dr. Jörg Janzen, Berlin [JJa]
PD Dr. Eckhard Jedicke, Bad Arolsen [EJ]
Dr. Hiltgund Jehle, Berlin [HJe]
Dr. Karin Jehn, Karlsruhe [KJ]
Prof. Dr. Hubert Job, München [HJo]
Dipl.-Geogr. Heike Jöns, Heidelberg [HJ]
Prof. Dr. Peter Jurczek, Jena [PJ]
Prof. Dr. Masahiro Kagami, Tokio [MK]
Prof. Dr. Andreas Kagermeier, Paderborn [AKa]
Dr. Daniela C. Kalthoff, Bonn [DCK]
Dr. Andrea Kampschulte, Basel [AKs]
Dr. Gerwin Kasperek, Gießen [GKa]
Prof. Dr. Dieter Kelletat, Essen [DK]
Prof. Dr. Franz-Josef Kemper, Berlin [FJK]
Farid El Kholi, Berlin [FE]
Dr. Günter Kirchberg, Speyer [GK]
Dr. Thomas Kistemann, Bonn [TK]
Prof. Dr. Dieter Klaus, Bonn [DKl]
Prof. Dr. Arno Kleber, Bayreuth [AK]
Prof. Dr. Hans-Jürgen Klink, Bochum [HJK]
Prof. Dr. Wolf Günther Koch [WK]
Dr. Franz Köhler, Gotha [FK]
Dipl.-Geogr. Bernhard Köppen, Chemnitz [BK]
Dipl.-Geogr. Kirsten Koop, Berlin [KK]
Prof. Dr. Christoph Kottmeier, Karlsruhe [CK]
Dr. Caroline Kramer, Heidelberg [CKr]
Dr. Klaus Kremling, Kiel [KKr]
Prof. Dr. Eberhard Kroß, Bochum [EKr]
Prof. Dr. Elmar Kulke, Berlin [EK]
Prof. Dr. Wilhelm Kuttler, Essen [WKu]
Dipl.-Geogr. Christian Langhagen-Rohrbach, Frankfurt a.M. [CLR]
Dr. Harald Leisch, Köln [HL]
Prof. Dr. Bärbel Leupolt, Hamburg [BL]
Prof. Dr. Hartmut Lichtenthaler, Karlsruhe [HLi]
Dipl.-Geogr.Christoph Mager, Heidelberg [CMa]
Dipl.-Geogr. Christiane Martin, Köln [CM]
Prof. Dr. Jörg Matschullat, Freiberg [JMt]
Prof. Dr. Alois Mayr, Leipzig [AMa]
Dipl.-Geogr. Heidi Megerle, Schlaitdorf [HM]
Dr. Andreas Megerle, Tübingen [AM]
Dipl.-Geogr. Astrid Mehmel, Bonn [AMe]
Prof. Dr. Jens Meincke, Hamburg [JM]
Dipl. Geogr. Klaus Mensing, Hamburg [KM]
Dipl.-Geogr. Klaus Mensing, Hamburg [KM]
Dipl.-Geogr. Rita Merckele, Berlin [RM]
Prof. Dr. Manfred Meurer, Karlsruhe [MM]
Prof. Dr. Peter Meusburger, Heidelberg [PM]
Prof. Dr. Georg Miehe, Marburg [GM]
Prof. Dr. Werner Mikus, Heidelberg [WM]
Prof. Dr. Thomas Mosimann, Hannover [TM]
Renate Müller, Berlin [RMü]
PD Dr. Hans-Nikolaus Müller, Luzern [HNM]
Prof. Dr. Detlef Müller-Mahn, Bayreuth [DM]
Prof. Dr. Heinz Musall, Gaiberg [HMu]
Prof. Dr. Frank Norbert Nagel, Hamburg [FNN]
Dipl.-Geogr. Martina Neuburger, Tübingen [MN]
Dipl.-Geogr. Peter Neumann, Münster [PN]
Prof. Dr. Jürgen Newig, Kiel [JNe]
Prof. Dr. Josef Nipper, Köln [JN]
Prof. Dr. Helmut Nuhn, Marburg [HN]
Dr. Ludwig Nutz, München [LN]
Prof. Dr. Jürgen Oßenbrügge, Hamburg [JO]
Dipl.-Geogr. Maren Ott, Frankfurt a.M. [MO]
Prof. Dr. Karl-Heinz Pfeffer, Tübingen [KP]
Dipl.-Geogr. Michael Plattner, Marburg [MP]
Dipl.-Geogr. Martin Pöhler, Tübingen [MaP]
Prof. Dr. Karl-Heinz Pörtge, Göttingen [KHP]
Prof. Dr. Jürgen Pohl, Bonn [JPo]
Prof. Dr. Ferenc Probáld, Budapest [FP]
PD Dr. Paul Reuber, Münster [PR]
Dipl.-Bibl. Sabine Richter, Bonn [SR]
Prof. Dr. Otto Richter, Braunschweig [OR]
Prof. Dr. Michael Richter, Erlangen [MR]
Prof. Dr. Gisbert Rinschede, Regensburg [GR]
Gerd Rothenwallner, Frankfurt a.M. [GRo]
Dr. Klaus Sachs, Heidelberg [KS]
Prof. Dr. Wolf-Dietrich Sahr, Curitiba (Brasilien) [WDS]
Dr. Heinz Sander, Köln [HS]
Dipl.-Geogr. Bruno Schelhaas, Leipzig [BSc]
Dipl.-Geogr. Jens Peter Scheller, Frankfurt a.M. [JPS]
Prof. Dr. Winfried Schenk, Tübingen [WS]
Dr. Arnold Scheuerbrandt, Heidelberg [AS]
Dipl.-Geogr. Heiko Schmid, Heidelberg [HSc]
Prof. Dr. Konrad Schmidt, Heidelberg [KoS]
Prof. Dr. Thomas Schmitt, Bochum [TSc]
PD Dr. Elisabeth Schmitt, Gießen [ES]
Prof. Dr. Jürgen Schmude, Regensburg [JSc]
Prof. Dr. Rita Schneider-Sliwa, Basel [RS]
Dr. Peter Schnell, Münster [PSch]
Dr. Thomas Scholten, Gießen [ThS]
Prof. Dr. Karl-Friedrich Schreiber, Münster [KFS]
Dipl.-Geogr. Thomas Schwan, Heidelberg [TS]
Prof. Dr. Jürgen Schweikart, Berlin [JüS]
Dr. Franz Schymik, Frankfurt a.M. [FS]
Prof. Dr. Peter Sedlacek, Jena [PS]
Prof. Dr. Günter Seeber, Hannover [GSe]
Prof. Dr. Martin Seger, Klagenfurt [MS]
Nicola Sekler, Tübingen [NSe]
Dr. Max Seyfried, Karlsruhe [MSe]
Christoph Spieker M.A., Bonn [CS]
Prof. Dr. Jürgen Spönemann, Bovenden [JS]
PD Dr. Barbara Sponholz, Würzburg [BS]
Prof. Dr. Albrecht Steinecke, Paderborn [ASte]
Prof. Dr. Wilhelm Steingrube, Greifswald [WSt]
Dr. Ingrid Stengel, Würzburg [IS]
Dipl.-Geogr. Anke Strüver, Nijmwegen [ASt]
Prof. Dr. Dietbert Thannheiser, Hamburg [DT]
Prof. Dr. Uwe Treter, Erlangen [UT]
Prof. Dr. Konrad Tyrakowski, Eichstätt [KT]
Alexander Vasudevan, MA, Vancouver [AV]
Martin Vogel, Tübingen [MV]
Prof. Dr. Joachim Vogt, Berlin [JVo]
Dr. Joachim Vossen, Regensburg [JV]
Dr. Ute Wardenga, Leipzig [UW]
Prof. Dr. Bernd Jürgen Warneken, Tübingen [BJW]
Dipl.-Geogr. Reinhold Weinmann, Heidelberg [RW]
Prof. Dr. Benno Werlen, Jena [BW]
Dr. Karin Wessel, Berlin [KWe]
Dr. Stefan Winkler, Trier [SW]
Prof. Dr. Klaus Wolf, Frankfurt a.M. [KW]
Dr. Volker Wrede, Krefeld [VW]

Grafik:
Mathias Niemeyer (Leitung)
Ulrike Lohoff-Erlenbach
Stephan Meyer

Schreiben Sie uns!

Wenn Sie inhaltliche Anmerkungen zu diesem Artikel haben, können Sie die Redaktion per E-Mail informieren. Wir lesen Ihre Zuschrift, bitten jedoch um Verständnis, dass wir nicht jede beantworten können.

Partnerinhalte

Bitte erlauben Sie Javascript, um die volle Funktionalität von Spektrum.de zu erhalten.