Direkt zum Inhalt

Lexikon der Geographie: SODAR

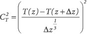
SODAR, Sonic Detection And Ranging, Schallradar, akustisches Radar, Impulsmessgerät, das zur zeit-höhenkontinuierlichen Vertikalsondierung der Temperaturstruktur (z.B. Erkennung von Inversionen und Konvektion) und des Windfelds in der atmosphärischen Grundschicht eingesetzt wird. Die SODAR-Messung basiert auf der Tatsache, dass die Schallausbreitung in der Grundschicht durch das Temperatur- und Windfeld beeinflusst wird. Das SODAR-Prinzip stellt wie das Radar ein Impulsmessverfahren dar, das heißt ein Signal wird vom Gerät erzeugt, ausgesendet und seine Reflexion wieder aufgenommen und gemessen. Mit einer monostatischen Antenne (Sende- und Empfangsantenne sind identisch) wird ein Schallimpuls ausgesendet und das an Temperaturinhomogenitäten (z.B. Inversionen) zurückgestreute Signal wieder empfangen ( Abb. 1 ). Die Intensität des Rückstreusignals ist proportional zum Temperaturstrukturparameter (C 2T), der die mittlere quadratische Temperaturdifferenz zwischen zwei Höhenpunkten mit dem Abstand Δz repräsentiert:



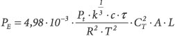
mit T=Temperatur [K], z=Höhe über Grund [m]. Der Temperaturstrukturparameter steht mit der empfangenen Leistung eines monostatischen SODARs (Streuwinkel=180°) über die SODAR-Gleichung in direktem Zusammenhang:



mit P E=akustische Empfangsleistung, P t=akustische Sendeleistung, k=Wellenzahl der akustischen Welle, c=mittlere Schallgeschwindigkeit, τ=Pulsdauer, A=Antennenfläche, L=Schwächung der akustischen Welle, R=Abstand Antenne-rückstreuende Schicht und T=mittlere absolute Temperatur der sondierten Schicht.
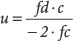
Mit einem einfachen Vertikal-SODAR (eine vertikal ausgerichtete Schallantenne) können verschiedene Typen von Temperaturinhomogenitäten erfasst werden, indem die als SODARgramm aufgezeichnete akustische Empfangsleistung entsprechend ausgewertet wird. Zur Ableitung von Windfeldern werden Doppler-SODARs mit drei Schallantennen eingesetzt ( Abb. 2 ). Wenn sich die Luft mit den eingebetteten Temperaturinhomogenitäten in Bewegung befindet, erfährt die Frequenz des rückgestreuten Signals eine Verschiebung, die proportional zur Windkomponente und parallel zum Schallstrahl ist. Diese ergibt sich näherungsweise aus:



mit fd=Dopplerverschiebung (Frequenz), c = Schallgeschwindigkeit und fc=Sendefrequenz. Bei Regen kann keine Sondierung vorgenommen werden, da die auf das Empfangsmikrophon fallenden Tropfen Störlärm verursachen. Das Verfahren reagiert darüber hinaus sensitiv gegenüber einem hohen Schallpegel aus der Umgebung. Zur Messung von Windfeld und Temperaturprofilen werden heute vermehrt Mikrowellenverfahren und akustische Techniken im Verbund eingesetzt. Ein solches Messverfahren wird als RASS (Radio Acoustic Sounding System) bezeichnet.

JB


SODAR 1 SODAR 1: Messprinzip eines monostatischen SODARs. Über eine Schallantenne wird während der Pulsdauer um den Zeitpunkt T 0 ein kurzer Schallimpuls ausgesendet. Danach wird der Lautsprecher auf Empfang (Mikrophon) umgestellt und die von Temperaturinhomogenitäten zurückgestreuten Schallwellen empfangen. Die Zeitdifferenz zwischen Sendeimpuls I 0 und empfangenem Signal I N (Laufzeit) ist proportional zur Entfernung von der Schallquelle und damit ein Maß für die Höhenlage der Temperturinhomogenität. Die Intensität des empfangenen Signals (z.B. I 2) ist ein Maß für die Stärke der Inhomogenität.

SODAR 2: SODAR 2: Schall- und Radarantennen eines RASS. In der Mitte die drei großen Schallantennen, neben der vertikal ausgerichteten Schallquelle, sind zwei schräg geneigte Antennen mit einem Abstrahlwinkel <90° notwendig.
  • Die Autoren

Redaktion:
Dipl.-Geogr. Christiane Martin (Leitung)
Dipl.-Geogr. Dorothee Bürkle
Dipl.-Geol. Manfred Eiblmaier

Fachkoordinatoren und Herausgeber:
Prof. Dr. Ernst Brunotte (Physische Geographie)
Prof. Dr. Hans Gebhardt (Humangeographie)
Prof. Dr. Manfred Meurer (Physische Geographie)
Prof. Dr. Peter Meusburger (Humangeographie)
Prof. Dr. Josef Nipper (Methodik)

Autorinnen und Autoren:
Prof. Dr. Patrick Armstrong, Perth (Australien) [PA]
Kurt Baldenhofer, Friedrichshafen [KB]
Prof. Dr. Yoram Bar-Gal, Haifa (Israel) [YBG]
Prof. Dr. Christoph Becker, Trier [CB]
Prof. Dr. Carl Beierkuhnlein, Rostock [CBe]
Prof. Dr. Jörg Bendix, Marburg [JB]
Dr. Markus Berger, Braunschweig [MB]
Prof. Dr. Helga Besler, Köln [HBe]
Prof. Dr. Hans Heinrich Blotevogel, Duisburg [HHB]
Dipl.-Geogr. Oliver Bödeker, Köln [OBö]
Prof. Dr. Hans Böhm, Bonn [HB]
Dr. Hans Jürgen Böhmer, München [HJB]
Dr. Thomas Breitbach, Köln [TB]
Dr. Heinz Peter Brogiato, Leipzig [HPB]
Prof. Dr. Ernst Brunotte, Köln [EB]
Dr. Olaf Bubenzer, Köln [OB]
Dipl.-Geogr. Dorothee Bürkle, Köln [DBü]
Prof. Dr. Detlef Busche, Würzburg [DB]
Dr. Tillmann Buttschardt, Karlsruhe [TBu]
Dr. Thomas Christiansen, Gießen [TC]
Dr. Martin Coy, Tübingen [MC]
Prof. Dr. Ulrich Deil, Freiburg [UD]
Prof. Dr. Jürgen Deiters, Osnabrück [JD]
Dr. Klaus Dodds, London [KD]
Prof. Dr. Heiner Dürr, Bochum [HD]
Dirk Dütemeyer, Essen [DD]
PD Dr. Rainer Duttmann, Hannover [RD]
Dipl.-Geogr. Susanne Eder, Basel [SE]
Dr. Jürgen Ehlers, Hamburg [JE]
Dipl.-Geol. Manfred Eiblmaier, Köln [ME]
Dr. Hajo Eicken, Fairbanks (USA) [HE]
Dr. Wolf-Dieter Erb, Gießen [WE]
Dr. Heinz-Hermann Essen, Hamburg [HHE]
Dr. Heinz-Hermann Essen, Hamburg [HHE]
Dr. Eberhard Fahrbach, Bremerhaven [EF]
Prof. Dr. Heinz Faßmann, Wien [HF]
Prof. Dr. Peter Felix-Henningsen, Gießen [PF]
Beate Feuchte, Berlin [BF]
Robert Fischer M.A., Frankfurt a.M. [RF]
Prof. Dr. Otto Fränzle, Kiel [OF]
Tim Freytag, Heidelberg [TM]
Dr. Heinz-W. Friese, Berlin [HWF]
Dr. Martina Fromhold-Eisebith, Seibersdorf [MFE]
Prof. Dr. Wolf Gaebe, Stuttgart [WG]
Dr. Werner Gamerith, Heidelberg [WGa]
Prof. Dr. Paul Gans, Mannheim [PG]
Prof. Dr. Hans Gebhardt, Heidelberg [HG]
Prof. Dr. Gerd Geyer, Würzburg [GG]
Prof. Dr. Rüdiger Glaser, Heidelberg [RGl]
Prof. Dr. Rainer Glawion, Freiburg i. Br. [RG]
Dr.-Ing. Konrad Großer, Leipzig [KG]
Mario Günter, Heidelberg [MG]
Prof. Dr. Wolfgang Haber, München [WHa]
Prof. Dr. Jürgen Hagedorn, Göttingen [JH]
Dr. Werner Arthur Hanagarth, Karlsruhe [WH]
Dr. Martin Hartenstein, Karlsruhe [MHa]
Prof. Dr. Ingrid Hemmer, Eichstädt [ICH]
Prof. Dr. Gerhard Henkel, Essen [GH]
Prof. Dr. Reinhard Henkel, Heidelberg [RH]
Dipl.-Geogr. Sven Henschel, Berlin [SH]
Prof. Dr. Bruno Hildenbrand, Jena [BH]
Dr. Hubert Höfer, Karlsruhe [HH]
Prof. Dr. Karl Hofius, Boppard [KHo]
Prof. Dr. Karl Hoheisel, Bonn [KH]
Prof. Dr. Hans Hopfinger, Eichstätt [HHo]
Michael Hoyler, Heidelberg [MH]
Dipl.-Geogr. Thorsten Hülsmann, Bonn [TH]
Ina Ihben, Köln [II]
Prof. Dr. Jucundus Jacobeit, Würzburg [JJ]
Dipl.-Geogr. Ingrid Jacobsen, Berlin [IJ]
Prof. Dr. Martin Jänicke, Berlin [MJ]
Dr. Jörg Janzen, Berlin [JJa]
PD Dr. Eckhard Jedicke, Bad Arolsen [EJ]
Dr. Hiltgund Jehle, Berlin [HJe]
Dr. Karin Jehn, Karlsruhe [KJ]
Prof. Dr. Hubert Job, München [HJo]
Dipl.-Geogr. Heike Jöns, Heidelberg [HJ]
Prof. Dr. Peter Jurczek, Jena [PJ]
Prof. Dr. Masahiro Kagami, Tokio [MK]
Prof. Dr. Andreas Kagermeier, Paderborn [AKa]
Dr. Daniela C. Kalthoff, Bonn [DCK]
Dr. Andrea Kampschulte, Basel [AKs]
Dr. Gerwin Kasperek, Gießen [GKa]
Prof. Dr. Dieter Kelletat, Essen [DK]
Prof. Dr. Franz-Josef Kemper, Berlin [FJK]
Farid El Kholi, Berlin [FE]
Dr. Günter Kirchberg, Speyer [GK]
Dr. Thomas Kistemann, Bonn [TK]
Prof. Dr. Dieter Klaus, Bonn [DKl]
Prof. Dr. Arno Kleber, Bayreuth [AK]
Prof. Dr. Hans-Jürgen Klink, Bochum [HJK]
Prof. Dr. Wolf Günther Koch [WK]
Dr. Franz Köhler, Gotha [FK]
Dipl.-Geogr. Bernhard Köppen, Chemnitz [BK]
Dipl.-Geogr. Kirsten Koop, Berlin [KK]
Prof. Dr. Christoph Kottmeier, Karlsruhe [CK]
Dr. Caroline Kramer, Heidelberg [CKr]
Dr. Klaus Kremling, Kiel [KKr]
Prof. Dr. Eberhard Kroß, Bochum [EKr]
Prof. Dr. Elmar Kulke, Berlin [EK]
Prof. Dr. Wilhelm Kuttler, Essen [WKu]
Dipl.-Geogr. Christian Langhagen-Rohrbach, Frankfurt a.M. [CLR]
Dr. Harald Leisch, Köln [HL]
Prof. Dr. Bärbel Leupolt, Hamburg [BL]
Prof. Dr. Hartmut Lichtenthaler, Karlsruhe [HLi]
Dipl.-Geogr.Christoph Mager, Heidelberg [CMa]
Dipl.-Geogr. Christiane Martin, Köln [CM]
Prof. Dr. Jörg Matschullat, Freiberg [JMt]
Prof. Dr. Alois Mayr, Leipzig [AMa]
Dipl.-Geogr. Heidi Megerle, Schlaitdorf [HM]
Dr. Andreas Megerle, Tübingen [AM]
Dipl.-Geogr. Astrid Mehmel, Bonn [AMe]
Prof. Dr. Jens Meincke, Hamburg [JM]
Dipl. Geogr. Klaus Mensing, Hamburg [KM]
Dipl.-Geogr. Klaus Mensing, Hamburg [KM]
Dipl.-Geogr. Rita Merckele, Berlin [RM]
Prof. Dr. Manfred Meurer, Karlsruhe [MM]
Prof. Dr. Peter Meusburger, Heidelberg [PM]
Prof. Dr. Georg Miehe, Marburg [GM]
Prof. Dr. Werner Mikus, Heidelberg [WM]
Prof. Dr. Thomas Mosimann, Hannover [TM]
Renate Müller, Berlin [RMü]
PD Dr. Hans-Nikolaus Müller, Luzern [HNM]
Prof. Dr. Detlef Müller-Mahn, Bayreuth [DM]
Prof. Dr. Heinz Musall, Gaiberg [HMu]
Prof. Dr. Frank Norbert Nagel, Hamburg [FNN]
Dipl.-Geogr. Martina Neuburger, Tübingen [MN]
Dipl.-Geogr. Peter Neumann, Münster [PN]
Prof. Dr. Jürgen Newig, Kiel [JNe]
Prof. Dr. Josef Nipper, Köln [JN]
Prof. Dr. Helmut Nuhn, Marburg [HN]
Dr. Ludwig Nutz, München [LN]
Prof. Dr. Jürgen Oßenbrügge, Hamburg [JO]
Dipl.-Geogr. Maren Ott, Frankfurt a.M. [MO]
Prof. Dr. Karl-Heinz Pfeffer, Tübingen [KP]
Dipl.-Geogr. Michael Plattner, Marburg [MP]
Dipl.-Geogr. Martin Pöhler, Tübingen [MaP]
Prof. Dr. Karl-Heinz Pörtge, Göttingen [KHP]
Prof. Dr. Jürgen Pohl, Bonn [JPo]
Prof. Dr. Ferenc Probáld, Budapest [FP]
PD Dr. Paul Reuber, Münster [PR]
Dipl.-Bibl. Sabine Richter, Bonn [SR]
Prof. Dr. Otto Richter, Braunschweig [OR]
Prof. Dr. Michael Richter, Erlangen [MR]
Prof. Dr. Gisbert Rinschede, Regensburg [GR]
Gerd Rothenwallner, Frankfurt a.M. [GRo]
Dr. Klaus Sachs, Heidelberg [KS]
Prof. Dr. Wolf-Dietrich Sahr, Curitiba (Brasilien) [WDS]
Dr. Heinz Sander, Köln [HS]
Dipl.-Geogr. Bruno Schelhaas, Leipzig [BSc]
Dipl.-Geogr. Jens Peter Scheller, Frankfurt a.M. [JPS]
Prof. Dr. Winfried Schenk, Tübingen [WS]
Dr. Arnold Scheuerbrandt, Heidelberg [AS]
Dipl.-Geogr. Heiko Schmid, Heidelberg [HSc]
Prof. Dr. Konrad Schmidt, Heidelberg [KoS]
Prof. Dr. Thomas Schmitt, Bochum [TSc]
PD Dr. Elisabeth Schmitt, Gießen [ES]
Prof. Dr. Jürgen Schmude, Regensburg [JSc]
Prof. Dr. Rita Schneider-Sliwa, Basel [RS]
Dr. Peter Schnell, Münster [PSch]
Dr. Thomas Scholten, Gießen [ThS]
Prof. Dr. Karl-Friedrich Schreiber, Münster [KFS]
Dipl.-Geogr. Thomas Schwan, Heidelberg [TS]
Prof. Dr. Jürgen Schweikart, Berlin [JüS]
Dr. Franz Schymik, Frankfurt a.M. [FS]
Prof. Dr. Peter Sedlacek, Jena [PS]
Prof. Dr. Günter Seeber, Hannover [GSe]
Prof. Dr. Martin Seger, Klagenfurt [MS]
Nicola Sekler, Tübingen [NSe]
Dr. Max Seyfried, Karlsruhe [MSe]
Christoph Spieker M.A., Bonn [CS]
Prof. Dr. Jürgen Spönemann, Bovenden [JS]
PD Dr. Barbara Sponholz, Würzburg [BS]
Prof. Dr. Albrecht Steinecke, Paderborn [ASte]
Prof. Dr. Wilhelm Steingrube, Greifswald [WSt]
Dr. Ingrid Stengel, Würzburg [IS]
Dipl.-Geogr. Anke Strüver, Nijmwegen [ASt]
Prof. Dr. Dietbert Thannheiser, Hamburg [DT]
Prof. Dr. Uwe Treter, Erlangen [UT]
Prof. Dr. Konrad Tyrakowski, Eichstätt [KT]
Alexander Vasudevan, MA, Vancouver [AV]
Martin Vogel, Tübingen [MV]
Prof. Dr. Joachim Vogt, Berlin [JVo]
Dr. Joachim Vossen, Regensburg [JV]
Dr. Ute Wardenga, Leipzig [UW]
Prof. Dr. Bernd Jürgen Warneken, Tübingen [BJW]
Dipl.-Geogr. Reinhold Weinmann, Heidelberg [RW]
Prof. Dr. Benno Werlen, Jena [BW]
Dr. Karin Wessel, Berlin [KWe]
Dr. Stefan Winkler, Trier [SW]
Prof. Dr. Klaus Wolf, Frankfurt a.M. [KW]
Dr. Volker Wrede, Krefeld [VW]

Grafik:
Mathias Niemeyer (Leitung)
Ulrike Lohoff-Erlenbach
Stephan Meyer

Schreiben Sie uns!

Wenn Sie inhaltliche Anmerkungen zu diesem Artikel haben, können Sie die Redaktion per E-Mail informieren. Wir lesen Ihre Zuschrift, bitten jedoch um Verständnis, dass wir nicht jede beantworten können.

Partnerinhalte

Bitte erlauben Sie Javascript, um die volle Funktionalität von Spektrum.de zu erhalten.