Direkt zum Inhalt

Lexikon der Geographie: Spektralbereich

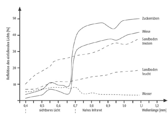
Spektralbereich, Ausschnitt aus dem Strahlungsspektrum. Multispektrale Scanner erfassen elektromagnetische Strahlung in verschiedenen Spektralbereichen, man spricht von einzelnen Spektralkanälen oder Spektralbändern (auch Kanäle oder Bänder). Für die geographische Fernerkundung bedeutend sind die Spektralbereiche des sichtbaren Lichtes, des Nahen Infrarot sowie des Mittleren Infrarot und gegebenenfalls jene des Thermischen Infrarot sowie der Mikrowellen-Radiometrie ( Abb. 1 ). Verschiedene Landoberflächen reflektieren je nach Spektralbereich unterschiedlich ( Abb. 2 , spektrale Signaturen), dies macht sich die Fernerkundung zu Nutze, indem die Kanäle gerade in den Spektralbereichen aufnehmen, in denen die größten relativen Unterschiede vorhanden sind. Die Abbildung 3 zeigt die 7 Spektralbereiche des ErdbeobachtungssatellitenLandsat TM und deren Anwendungsbereiche.

MS


Spektralbereich 1: Spektralbereich 1: Spektralbereiche und Einsatzbereiche von Fernerkundungssystemen.

Spektralbereich 2: Spektralbereich 2: Reflexionseigenschaften ausgewählter Oberflächen in den Spektralbereichen 0,4-1,2 μm.

Spektralbereich 3: Spektralbereich 3: Spektralkanäle von Landsat TM und ihre Anwendungsbereiche.
  • Die Autoren

Redaktion:
Dipl.-Geogr. Christiane Martin (Leitung)
Dipl.-Geogr. Dorothee Bürkle
Dipl.-Geol. Manfred Eiblmaier

Fachkoordinatoren und Herausgeber:
Prof. Dr. Ernst Brunotte (Physische Geographie)
Prof. Dr. Hans Gebhardt (Humangeographie)
Prof. Dr. Manfred Meurer (Physische Geographie)
Prof. Dr. Peter Meusburger (Humangeographie)
Prof. Dr. Josef Nipper (Methodik)

Autorinnen und Autoren:
Prof. Dr. Patrick Armstrong, Perth (Australien) [PA]
Kurt Baldenhofer, Friedrichshafen [KB]
Prof. Dr. Yoram Bar-Gal, Haifa (Israel) [YBG]
Prof. Dr. Christoph Becker, Trier [CB]
Prof. Dr. Carl Beierkuhnlein, Rostock [CBe]
Prof. Dr. Jörg Bendix, Marburg [JB]
Dr. Markus Berger, Braunschweig [MB]
Prof. Dr. Helga Besler, Köln [HBe]
Prof. Dr. Hans Heinrich Blotevogel, Duisburg [HHB]
Dipl.-Geogr. Oliver Bödeker, Köln [OBö]
Prof. Dr. Hans Böhm, Bonn [HB]
Dr. Hans Jürgen Böhmer, München [HJB]
Dr. Thomas Breitbach, Köln [TB]
Dr. Heinz Peter Brogiato, Leipzig [HPB]
Prof. Dr. Ernst Brunotte, Köln [EB]
Dr. Olaf Bubenzer, Köln [OB]
Dipl.-Geogr. Dorothee Bürkle, Köln [DBü]
Prof. Dr. Detlef Busche, Würzburg [DB]
Dr. Tillmann Buttschardt, Karlsruhe [TBu]
Dr. Thomas Christiansen, Gießen [TC]
Dr. Martin Coy, Tübingen [MC]
Prof. Dr. Ulrich Deil, Freiburg [UD]
Prof. Dr. Jürgen Deiters, Osnabrück [JD]
Dr. Klaus Dodds, London [KD]
Prof. Dr. Heiner Dürr, Bochum [HD]
Dirk Dütemeyer, Essen [DD]
PD Dr. Rainer Duttmann, Hannover [RD]
Dipl.-Geogr. Susanne Eder, Basel [SE]
Dr. Jürgen Ehlers, Hamburg [JE]
Dipl.-Geol. Manfred Eiblmaier, Köln [ME]
Dr. Hajo Eicken, Fairbanks (USA) [HE]
Dr. Wolf-Dieter Erb, Gießen [WE]
Dr. Heinz-Hermann Essen, Hamburg [HHE]
Dr. Heinz-Hermann Essen, Hamburg [HHE]
Dr. Eberhard Fahrbach, Bremerhaven [EF]
Prof. Dr. Heinz Faßmann, Wien [HF]
Prof. Dr. Peter Felix-Henningsen, Gießen [PF]
Beate Feuchte, Berlin [BF]
Robert Fischer M.A., Frankfurt a.M. [RF]
Prof. Dr. Otto Fränzle, Kiel [OF]
Tim Freytag, Heidelberg [TM]
Dr. Heinz-W. Friese, Berlin [HWF]
Dr. Martina Fromhold-Eisebith, Seibersdorf [MFE]
Prof. Dr. Wolf Gaebe, Stuttgart [WG]
Dr. Werner Gamerith, Heidelberg [WGa]
Prof. Dr. Paul Gans, Mannheim [PG]
Prof. Dr. Hans Gebhardt, Heidelberg [HG]
Prof. Dr. Gerd Geyer, Würzburg [GG]
Prof. Dr. Rüdiger Glaser, Heidelberg [RGl]
Prof. Dr. Rainer Glawion, Freiburg i. Br. [RG]
Dr.-Ing. Konrad Großer, Leipzig [KG]
Mario Günter, Heidelberg [MG]
Prof. Dr. Wolfgang Haber, München [WHa]
Prof. Dr. Jürgen Hagedorn, Göttingen [JH]
Dr. Werner Arthur Hanagarth, Karlsruhe [WH]
Dr. Martin Hartenstein, Karlsruhe [MHa]
Prof. Dr. Ingrid Hemmer, Eichstädt [ICH]
Prof. Dr. Gerhard Henkel, Essen [GH]
Prof. Dr. Reinhard Henkel, Heidelberg [RH]
Dipl.-Geogr. Sven Henschel, Berlin [SH]
Prof. Dr. Bruno Hildenbrand, Jena [BH]
Dr. Hubert Höfer, Karlsruhe [HH]
Prof. Dr. Karl Hofius, Boppard [KHo]
Prof. Dr. Karl Hoheisel, Bonn [KH]
Prof. Dr. Hans Hopfinger, Eichstätt [HHo]
Michael Hoyler, Heidelberg [MH]
Dipl.-Geogr. Thorsten Hülsmann, Bonn [TH]
Ina Ihben, Köln [II]
Prof. Dr. Jucundus Jacobeit, Würzburg [JJ]
Dipl.-Geogr. Ingrid Jacobsen, Berlin [IJ]
Prof. Dr. Martin Jänicke, Berlin [MJ]
Dr. Jörg Janzen, Berlin [JJa]
PD Dr. Eckhard Jedicke, Bad Arolsen [EJ]
Dr. Hiltgund Jehle, Berlin [HJe]
Dr. Karin Jehn, Karlsruhe [KJ]
Prof. Dr. Hubert Job, München [HJo]
Dipl.-Geogr. Heike Jöns, Heidelberg [HJ]
Prof. Dr. Peter Jurczek, Jena [PJ]
Prof. Dr. Masahiro Kagami, Tokio [MK]
Prof. Dr. Andreas Kagermeier, Paderborn [AKa]
Dr. Daniela C. Kalthoff, Bonn [DCK]
Dr. Andrea Kampschulte, Basel [AKs]
Dr. Gerwin Kasperek, Gießen [GKa]
Prof. Dr. Dieter Kelletat, Essen [DK]
Prof. Dr. Franz-Josef Kemper, Berlin [FJK]
Farid El Kholi, Berlin [FE]
Dr. Günter Kirchberg, Speyer [GK]
Dr. Thomas Kistemann, Bonn [TK]
Prof. Dr. Dieter Klaus, Bonn [DKl]
Prof. Dr. Arno Kleber, Bayreuth [AK]
Prof. Dr. Hans-Jürgen Klink, Bochum [HJK]
Prof. Dr. Wolf Günther Koch [WK]
Dr. Franz Köhler, Gotha [FK]
Dipl.-Geogr. Bernhard Köppen, Chemnitz [BK]
Dipl.-Geogr. Kirsten Koop, Berlin [KK]
Prof. Dr. Christoph Kottmeier, Karlsruhe [CK]
Dr. Caroline Kramer, Heidelberg [CKr]
Dr. Klaus Kremling, Kiel [KKr]
Prof. Dr. Eberhard Kroß, Bochum [EKr]
Prof. Dr. Elmar Kulke, Berlin [EK]
Prof. Dr. Wilhelm Kuttler, Essen [WKu]
Dipl.-Geogr. Christian Langhagen-Rohrbach, Frankfurt a.M. [CLR]
Dr. Harald Leisch, Köln [HL]
Prof. Dr. Bärbel Leupolt, Hamburg [BL]
Prof. Dr. Hartmut Lichtenthaler, Karlsruhe [HLi]
Dipl.-Geogr.Christoph Mager, Heidelberg [CMa]
Dipl.-Geogr. Christiane Martin, Köln [CM]
Prof. Dr. Jörg Matschullat, Freiberg [JMt]
Prof. Dr. Alois Mayr, Leipzig [AMa]
Dipl.-Geogr. Heidi Megerle, Schlaitdorf [HM]
Dr. Andreas Megerle, Tübingen [AM]
Dipl.-Geogr. Astrid Mehmel, Bonn [AMe]
Prof. Dr. Jens Meincke, Hamburg [JM]
Dipl. Geogr. Klaus Mensing, Hamburg [KM]
Dipl.-Geogr. Klaus Mensing, Hamburg [KM]
Dipl.-Geogr. Rita Merckele, Berlin [RM]
Prof. Dr. Manfred Meurer, Karlsruhe [MM]
Prof. Dr. Peter Meusburger, Heidelberg [PM]
Prof. Dr. Georg Miehe, Marburg [GM]
Prof. Dr. Werner Mikus, Heidelberg [WM]
Prof. Dr. Thomas Mosimann, Hannover [TM]
Renate Müller, Berlin [RMü]
PD Dr. Hans-Nikolaus Müller, Luzern [HNM]
Prof. Dr. Detlef Müller-Mahn, Bayreuth [DM]
Prof. Dr. Heinz Musall, Gaiberg [HMu]
Prof. Dr. Frank Norbert Nagel, Hamburg [FNN]
Dipl.-Geogr. Martina Neuburger, Tübingen [MN]
Dipl.-Geogr. Peter Neumann, Münster [PN]
Prof. Dr. Jürgen Newig, Kiel [JNe]
Prof. Dr. Josef Nipper, Köln [JN]
Prof. Dr. Helmut Nuhn, Marburg [HN]
Dr. Ludwig Nutz, München [LN]
Prof. Dr. Jürgen Oßenbrügge, Hamburg [JO]
Dipl.-Geogr. Maren Ott, Frankfurt a.M. [MO]
Prof. Dr. Karl-Heinz Pfeffer, Tübingen [KP]
Dipl.-Geogr. Michael Plattner, Marburg [MP]
Dipl.-Geogr. Martin Pöhler, Tübingen [MaP]
Prof. Dr. Karl-Heinz Pörtge, Göttingen [KHP]
Prof. Dr. Jürgen Pohl, Bonn [JPo]
Prof. Dr. Ferenc Probáld, Budapest [FP]
PD Dr. Paul Reuber, Münster [PR]
Dipl.-Bibl. Sabine Richter, Bonn [SR]
Prof. Dr. Otto Richter, Braunschweig [OR]
Prof. Dr. Michael Richter, Erlangen [MR]
Prof. Dr. Gisbert Rinschede, Regensburg [GR]
Gerd Rothenwallner, Frankfurt a.M. [GRo]
Dr. Klaus Sachs, Heidelberg [KS]
Prof. Dr. Wolf-Dietrich Sahr, Curitiba (Brasilien) [WDS]
Dr. Heinz Sander, Köln [HS]
Dipl.-Geogr. Bruno Schelhaas, Leipzig [BSc]
Dipl.-Geogr. Jens Peter Scheller, Frankfurt a.M. [JPS]
Prof. Dr. Winfried Schenk, Tübingen [WS]
Dr. Arnold Scheuerbrandt, Heidelberg [AS]
Dipl.-Geogr. Heiko Schmid, Heidelberg [HSc]
Prof. Dr. Konrad Schmidt, Heidelberg [KoS]
Prof. Dr. Thomas Schmitt, Bochum [TSc]
PD Dr. Elisabeth Schmitt, Gießen [ES]
Prof. Dr. Jürgen Schmude, Regensburg [JSc]
Prof. Dr. Rita Schneider-Sliwa, Basel [RS]
Dr. Peter Schnell, Münster [PSch]
Dr. Thomas Scholten, Gießen [ThS]
Prof. Dr. Karl-Friedrich Schreiber, Münster [KFS]
Dipl.-Geogr. Thomas Schwan, Heidelberg [TS]
Prof. Dr. Jürgen Schweikart, Berlin [JüS]
Dr. Franz Schymik, Frankfurt a.M. [FS]
Prof. Dr. Peter Sedlacek, Jena [PS]
Prof. Dr. Günter Seeber, Hannover [GSe]
Prof. Dr. Martin Seger, Klagenfurt [MS]
Nicola Sekler, Tübingen [NSe]
Dr. Max Seyfried, Karlsruhe [MSe]
Christoph Spieker M.A., Bonn [CS]
Prof. Dr. Jürgen Spönemann, Bovenden [JS]
PD Dr. Barbara Sponholz, Würzburg [BS]
Prof. Dr. Albrecht Steinecke, Paderborn [ASte]
Prof. Dr. Wilhelm Steingrube, Greifswald [WSt]
Dr. Ingrid Stengel, Würzburg [IS]
Dipl.-Geogr. Anke Strüver, Nijmwegen [ASt]
Prof. Dr. Dietbert Thannheiser, Hamburg [DT]
Prof. Dr. Uwe Treter, Erlangen [UT]
Prof. Dr. Konrad Tyrakowski, Eichstätt [KT]
Alexander Vasudevan, MA, Vancouver [AV]
Martin Vogel, Tübingen [MV]
Prof. Dr. Joachim Vogt, Berlin [JVo]
Dr. Joachim Vossen, Regensburg [JV]
Dr. Ute Wardenga, Leipzig [UW]
Prof. Dr. Bernd Jürgen Warneken, Tübingen [BJW]
Dipl.-Geogr. Reinhold Weinmann, Heidelberg [RW]
Prof. Dr. Benno Werlen, Jena [BW]
Dr. Karin Wessel, Berlin [KWe]
Dr. Stefan Winkler, Trier [SW]
Prof. Dr. Klaus Wolf, Frankfurt a.M. [KW]
Dr. Volker Wrede, Krefeld [VW]

Grafik:
Mathias Niemeyer (Leitung)
Ulrike Lohoff-Erlenbach
Stephan Meyer

Schreiben Sie uns!

Wenn Sie inhaltliche Anmerkungen zu diesem Artikel haben, können Sie die Redaktion per E-Mail informieren. Wir lesen Ihre Zuschrift, bitten jedoch um Verständnis, dass wir nicht jede beantworten können.

Partnerinhalte

Bitte erlauben Sie Javascript, um die volle Funktionalität von Spektrum.de zu erhalten.