Lexikon der Geowissenschaften: Baugrunderkundung
Baugrunderkundung, wird durchgeführt mit dem Zweck, technisch sichere und wirtschaftlich vertretbare Gründungen zu ermöglichen. Planung und Bauausführung stützen sich auf die Ergebnisse der Baugrunderkundung. In jedem Fall muß die zulässige Beanspruchung des Untergrundes ermittelt werden, d.h. daß Setzungen und v.a. Setzungsunterschiede vorausberechnet und Angaben zur Grundbruchsicherheit gegeben werden müssen. Es muß dabei der Grundsatz beachtet werden, daß jeder Baugrund nur bis zu seiner "Grenzlast" bzw. seiner "Grundbruchslast" belastet werden darf. Die "Grenzlast" ist jene Last, bis zu der keine für den Bestand des Bauwerks schädliche Setzungen oder Setzungsunterschiede entstehen. Die "Grundbruchlast" definiert den Grenzwert der Tragfähigkeit des Baugrundes, also die Grundbruchsicherheit. Damit sind die beiden Kriterien gefunden, welche die nach DIN 1054 geforderten Werte für den zulässigen Sohldruck definieren. Die Baugrunderkundung muß Angaben und Parameter liefern, die sich auf den gesamten von der Belastung, d.h. Untergrundpressung betroffenen Bauraum beziehen. Eine Festlegung der Erkundungstiefe über Druckabstrahlung und Druckausbreitungsflächen bzw. die sog. Druckzwiebel ist erforderlich. (elastisch-isotroper Halbraum Abb. 1, Abb. 2). Da der Boden nur näherungsweise dem Hookeschen Gesetz folgt, d.h. daß der Baugrund nicht vollelastisch isotop anzunehmen ist, erhalten die Isobaren eine mehr oder weniger gestreckte Form. Schmale und breite Fundamente bewirken unterschiedliche Isobarenformen. Ist die notwendige Teufe der Erkundungsmaßnahmen gefunden, muß über die Methodik entschieden werden. Immer werden zunächst direkte Aufschlüsse und örtliche Erfahrungen herangezogen. Bohrungen, Sondierungen und Schürfe folgen in einer zweiten Erkundungsstufe und schließlich werden unter Umständen flächenhafte Erkundungen mittels geophysikalischer Methoden notwendig. Ziel der Erkundung muß es sein, Aufschluß über die Schichtenfolge, die Neigung und Mächtigkeit der Schichten und die Eigenschaften der einzelnen Schichten zu erlangen. Alle Schichten, welche Setzung und Grundbruch beeinflussen, müssen erfaßt werden. Gründungen und Arbeiten im Grundwasserbereich, auf veränderlich festen Gesteinen und Böden und auf expandierenden Tonen oder Gips/Anhydrit-Gesteinen erfordern einen erhöhten Erkundungsaufwand.
Das Europäische Komitee für Normung (CEN) ersetzt zunehmend durch die Herausgabe von Euronormen die nationalen Normen (DIN, ÖNORM). Die ursprünglich EUROCODES (EC) genannten Euronormen für das Bauwesen werden heute als EN bzw. ENV (Vornorm) bezeichnet. Internationale Regelwerke stützen sich außerdem auf ISO-Normen der "International Organization for Standardisation". Alle Normen und sonstigen Regelwerke beinhalten den allgemein anerkannten Stand der Technik, der sich jedoch immer auf den Zeitpunkt der jeweiligen Herausgabe der Norm bezieht. Praktikabler und vollständiger ist heute noch der Katalog der DIN, der für die Baugrunderkundung folgende maßgebliche Vorschriften enthält:
a) Baugrunderkundung im Lockergestein (Böden): Böden sind im bautechnischen und ingenieurgeologischen Sinne die oberflächennahen Lockergesteine der Erdkruste, wobei noch keine Lithifizierung eingetreten ist. Eine Kornbindung fehlt bzw. ist nur im plastischen oder halbfesten Zustand mäßig vorgegeben. Bohren, Schürfen und Sondieren sind die wichtigsten für die Bauraumerkundung entwickelten und praktizierten Methoden. Bei den Bohrungen unterscheidet man zwischen Erkundungsbohrungen und Bohrungen für einzelne Bauwerke. Erkundungsbohrungen werden im Planungsstadium angesetzt, um z.B. für Bebauungspläne, Verkehrswege, Deponiestandorte etc. den Baugrund über größere Flächen zu erschließen. Zunächst wird in großen Abständen gebohrt, um dann je nach Komplexität des Baugrundes bzw. je nach den Erfordernissen der Planung das Bohrnetz zu verdichten. Bohrungen für einzelne Bauwerke sollen detaillierten Aufschluß über die Baugrundverhältnisse unmittelbar unter einzelnen Bauwerken erbringen. Lage, Teufe und Anzahl der Bohrungen werden den Ergebnissen der Erkundungsbohrung angepaßt. Die Ergebnisse von Bohrungen werden in Schichtenverzeichnissen und Bohrprofilen gemäß DIN 4023 dargestellt (ingenieurgeologische Gutachten).
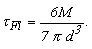
Schürfgruben oder Schürfschlitze sind künstliche Aufschlüsse, die Baugrundverhältnisse bis in Teufen von 2-3 m widergeben und gezielte Probennahmen für z.B. Scherversuche an ungestörten Proben erlauben ( Abb. 1 ). Sondierungen werden mit Sondiergeräten durchgeführt, die Sonden (Stäbe) mit Hilfe einer Eintriebsvorrichtung in den Boden rammen oder drücken. Der Widerstand gegenüber dem Rammen oder Eindrücken bzw. die dafür notwendige Energie wird aufgezeichnet. Die Eichung anhand eines Bohrprofiles in der Umgebung und im geologischen Umfeld eines Sondiernetzes ist fast immer unabdingbar. Außer der Rammsondierung ist die Drucksonde die gebräuchlichste Vorrichtung für Baugrundsondierungen. Nach DIN 4096 kann die Scherfestigkeit bindiger Böden durch Flügelsonden ermittelt werden. Ein genormter Scherflügel wird in den Boden eingedrückt und mit gleichmäßiger Winkelgeschwindigkeit (30º/min) bis zum Bruch gedreht. Das maximale Drehmoment M wird gemessen. Der Maximalwert τFL entspricht bei wassergesättigten bindigen Böden der Scherfestigkeit cu des undränierten Bodens (d = Flügeldurchmesser):
Der Plattendruckversuch dient zur Beurteilung der Verformbarkeit und der Tragfähigkeit eines Bodens. Die Versuchsresultate werden in der Drucksetzungslinie dargestellt und mit dem VerformungsmodulEv
ausgedrückt (Δσ0 = Sohlspannungssteigung, Δs = zugehörende Setzung).
Laborparameter, die zur Baugrunderkundung als Ergänzung zu den Geländeerkundungsdaten gehören, umfassen generell die wichtigsten Bodenkenngrößen und die Festigkeits- und Formänderungseigenschaften der Böden. Zu den wichtigsten Bodenkennwerten zählen die Korngröße und Korngrößenverteilung, die Korndichte und Korngewichte, Porenanteil und Porenzahl, Lagerungsdichte, Zustandsformen und Konsistenzgrenzen, die Durchlässigkeit und die kapillare Steighöhe. Insbesondere ist die Analytik zwischen gesättigter Zone und ihrem Übergangsbereich zur ungesättigten Zone von großer Bedeutung. In vielen Fällen, v.a. bei Tonböden, muß die Probennahme mikro- oder makrogefügebezogen orientiert erfolgen, um Einregelungseffekte erfassen zu können. Festigkeits- und Formänderungseigenschaften drücken sich in erster Linie in der Scherfestigkeit und Zusammendrückbarkeit aus. Für die Beurteilung des Setzungs- und Grundbruchverhaltens ist die Kenntnis über die Kohäsion, den Reibungswinkel, die Bruchfestigkeit und eine evtl. Restscherfestigkeit von ausschlaggebender Bedeutung.
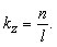
b) Baugrunderkundung im Fels: Bei Fels als Baugrund ist v.a. die Festigkeit, die Wasserführung in den Klüften und das die beiden erstgenannten Parameter bedingende Trennflächengefüge und die Trennflächenausbildung zu bestimmen. Das Gebirge ist immer ein Vielkörper-System, das von verschiedenartigen Trennflächen durchzogen wird. Schichtflächen, Schieferungsflächen, Klüfte und Störungsflächen sind die häufigsten Arten von Trennflächen. Durch die Verschneidung der Trennflächen miteinander, das Trennflächengefüge, entstehen Kluftkörper, die eine richtungsabhängige Teilbeweglichkeit des Gebirges schaffen. Die Wasserwegigkeit und damit die Durchlässigkeits- und Durchströmungseigenschaften werden durch das Trennflächengefüge bestimmt. Zu bestimmen sind im Fels jeweils der Kluftabstand, die Kluftdichte und der Durchtrennungsgrad. Unter dem Kluftabstand d versteht man den Abstand zwischen den Klüften einer Schar in Richtung der Flächennormalen gemessen ( Abb. 2 ). Die Kluftdichte (Klüftigkeitsziffer, Klüftigkeitszahl) kz ist definiert als durchschnittliche Anzahl der Kluftschnitte pro Meter Meßlänge [1/m] ( Abb. 3 ):
Der Durchtrennungsgrad D ist ein Maß für den Grad der Zuklüftung eines Gebirges. Die Bewegungsfreiheit der Kluftkörper in ihrem Gebirgsverband bestimmt den Gebirgszusammenhalt. Je mehr Klüfte im Verband enden, d.h. je mehr Materialbrücken vorhanden sind, desto besser ist der Zusammenhalt und die Festigkeit des Gebirges. Gemeinsam mit der Kluftfestigkeitsziffer charakterisiert der Durchtrennungsgrad die Intensität der Gebirgszerlegung. Der Durchtrennungsgrad wird durch den "ebenen Kluftflächenanteil" χe ausgedrückt. χe bezeichnet das Verhältnis einer offenen Kluftfläche an einem bestimmten Bezugsflächenanteil ( Abb. 4 ):
(K = Kluft, K1, K2, K3 = Kluftanteile, A = gedachte Fläche in einem Felskörper). χe = 0 bedeutet, daß in der Fläche keine Klüfte auftreten, d.h. keine Durchtrennung vorliegt. χe = 1 bedeutet, daß die Fläche vollständig von einer Kluftfläche eingenommen wird. Für Fragen der Baugrundstabilität auf Felsuntergrund bildet die Klüftigkeit neben der Gesteinsfestigkeit den wichtigsten Parameter. [KC]
Baugrunderkundung 1: Schema einer Schürfgrube für geringe Erkundungstiefen. Baugrunderkundung 1:

Baugrunderkundung 2: Darstellung von Kluftkörper K, Kluftabstand d und Meßgerade x eines konvergierenden Kluftsystems. Baugrunderkundung 2:

Baugrunderkundung 3: Skizze zur Messung der Klüftigkeitsziffer. Baugrunderkundung 3:

Baugrunderkundung 4: Prinzipskizze zur Berechnung des ebenen Kluftflächenanteils, mit ebenem Kluftflächenanteil (χe), gedachter Fläche in einem Festkörper (A), offener Kluftfläche (K1) und Kluftflächenanteilen (K1a, K1b, K1c). Baugrunderkundung 4:

Wenn Sie inhaltliche Anmerkungen zu diesem Artikel haben, können Sie die Redaktion per E-Mail informieren. Wir lesen Ihre Zuschrift, bitten jedoch um Verständnis, dass wir nicht jede beantworten können.