Lexikon der Geowissenschaften: Dichte
Dichte, 1)Geophysik: Gesteinsdichte. 2)Klimatologie: Luftdichte. 3)Mathematik: i.w.S. wird unter Dichte der Quotient bzw. Differentialquotient aus einer physikalischen oder mathematischen Größe und einer Linien-, Flächen- oder Volumeneinheit verstanden (Punktdichte, Wärmeflußdichte, optische Dichte, Opazität, Räadungsdichte). 4)Mineralogie: Massendichte, spezifische Masse, rho, ρ, Dichte eines Stoffes, ist definiert als die Masse der Volumeneinheit, als die in 1 cm3 enthaltene Masse in g. Bei Gleichsetzung von Gewicht und Masse können Dichte und spezifisches Gewicht als Synonyme verwendet werden. Die Dichte ist für jede Kristallart eine charakteristische und relativ einfach zu ermittelnde Größe. Sie gibt nicht nur Aufschluß über die chemische Zusammensetzung, z.B. bei Mischkristallen, deren Dichten sich i.a. kontinuierlich mit ihrer wechselnden chemischen Zusammensetzung ändern, sondern auch über Beimengungen, Einschlüsse und Verwitterungsgrad der Minerale. Die Dichten der Kristalle sind stets größer als die der entsprechenden Schmelzen oder Gläser. Allerdings gibt es Ausnahmen, wie z.B. Eis (D = 0,9 g/cm3) und flüssiges Wasser (D = 1,0 g/cm3) bei 4ºC. Die verschiedenen Mineralmodifikationen einer chemischen Verbindung (z.B. SiO2) haben auch verschiedene Dichten. So ist die Dichte für Quarz 2,65 g/cm3, für Tridymit 2,27 g/cm3, für Cristobalit 2,32 g/cm3 und für Lechatelierit (natürliches Kieselglas) 2,20 g/cm3. Die größten Dichten besitzen unter den Mineralen die gediegen auftretenden Edelmetalle: Iridium 22 g/cm3, Platin 18 g/cm3, Gold 19 g/cm3, Quecksilber 12,5 g/cm3 und Silber 12 g/cm3. Je nach Beimengungen schwanken diese Werte. Organische Bildungen wie Bernstein gehören zu den leichtesten Mineralen. Erzminerale liegen zwischen 4 und 8 g/cm3, während die Dichte der beim Abbau dem Erz beigemengten Gangarten 2-4 g/cm3 betragen. Hierauf beruht die mechanische Trennung der Erze von ihren Begleitmineralen des Nebengesteins. Zur genauen Bestimmung der Dichte sind mehrere Methoden gebräuchlich. Am einfachsten und gleichzeitig genauesten ist die Wägemethode mit der hydrostatischen Waage. Die Dichte D [g/cm3] ergibt sich durch Wiegen in Luft (GLuft) und Wasser (GWasser) gemäß der Gleichung:

da GLuft-GWasser gleich dem Auftrieb bzw. dem Volumen des Kristalls ist. Besonders geeignet für die Bestimmung der Dichte auch sehr kleiner Mineralkörner ist eine elektronische Waage, die auch noch Messungen an Kriställchen von weniger als 25 mg Gewicht zuläßt. Zweckmäßigerweise wird dabei nicht in Wasser, sondern in Flüssigkeiten mit niedrigen Oberflächenspannungen gewogen. Bei exakter Einhaltung der Meßbedingungen und unter Verwendung von Korrekturfaktoren für die Temperatur lassen sich so sehr genaue Dichtebestimmungen an kleinsten Mineralkörnern durchführen. Für die Bestimmung kleiner Kristallkörner eignet sich auch die Methode mit dem Pyknometer oder die Schwebemethode. Ein Pyknometer ist ein kleines Glasfläschchen von ca. 20 cm3 Inhalt mit einem eingeschliffenen Stopfen und einer Kapillarröhre als Öffnung:
wobei Gk das Gewicht des Kristalls oder mehrerer Kristallkörner, Gpw das Gewicht des mit Wasser gefüllten Pyknometers und Gpwk das Gewicht des mit Wasser und den Kristallen gefüllten Pyknometers bedeuten. Die Pyknometermethode liefert auch für kleine Mengen bei sorgfältigem Arbeiten sehr gute Werte, allerdings muß die Temperatur bei den Wägungen genau eingehalten werden. Für wasserlösliche Minerale können auch organische Flüssigkeiten wie Öl oder Alkohol verwandt werden. Eine ebenfalls sehr genaue Bestimmungsmethode der Dichte, die aber meist etwas umständlich und nur bis zur Dichte 4,5 g/cm3 durchführbar ist, stellt die Schwebemethode dar. In einen Standzylinder bringt man eine Flüssigkeit, die ein höheres spezifisches Gewicht hat als der zu untersuchende Kristall. Durch schrittweises Verdünnen mit einer geeigneten spezifisch leichteren Lösung, die sich gut mit der schweren Flüssigkeit mischen muß, erreicht man schließlich, daß das Mineralkorn gerade in der Flüssigkeit schwebt, d.h. Flüssigkeit und Kristall besitzen nun dasselbe spezifische Gewicht. Die genaue Dichte der Lösung wird dann mit einem Aräometer gemessen. Als geeignete "Schwereflüssigkeiten" eignen sich Bromoform (CHBr3, D = 2,90 g/cm3), Acetylentetrabromid (D = 2,98 g/cm3) oder Kaliumquecksilberiodid (HgI2+KI+H2O, D = 3,2 g/cm3). Das hohe spezifische Gewicht von 4,5 g/cm3 der Clerici-Lösung stellt das absolute Dichtemaximum dar, das mit Hilfe der Schwebemethode erreicht werden kann. Für die meist schwereren Erzminerale kann man noch mit "schweren Schmelzen" arbeiten, was aber in der praktischen Ausführung schon auf größere Schwierigkeiten stößt.
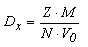
Die Dichte der Kristalle spielt eine Rolle bei der natürlichen Anreicherung von Schwermineralen in Seifenlagerstätten, bei der gravitativen Kristallisationsdifferentiation sowie bei der technischen Aufbereitung der Erze und im Labor zur Trennung von Mineralgemischen. Zu diesem letzteren Zweck zerkleinert man ein Mineralgemenge bzw. ein Gestein und trennt die einzelnen Fraktionen in Standzylindern mit stufenweise verdünnten Schwerelösungen ab. Aus der Messung der Absetzgeschwindigkeit v der Mineralkörner lassen sich bei bekannter Viskosität der Lösung bis zu einer Teilchengröße von 0,001 mm auch Korngrößenverteilungskurven aufnehmen, die besonders in der Sedimentpetrographie von großer Bedeutung sind. Besonders konstruierte Sedimentationswaagen, in denen Wasser oder Alkohol als Sedimentationsmedium benutzt wird, dienen zur kontinuierlichen Messung der anfallenden Teilchen. Die Beziehung zwischen der Teilchengröße, der Sedimentationsgeschwindigkeit und der Dichte ergibt sich aus dem Stokesschen Gesetz. Die theoretische Dichte der Kristalle läßt sich auch aus dem Masseninhalt der Elementarzelle und ihrem Volumen berechnen. Da diese Größen mit röntgenographischen Methoden bestimmt werden, spricht man dabei auch von der Röntgendichte. Sie berechnet sich gemäß der Gleichung:
(Dx in g/cm3), wobei Z die Zahl der Formeleinheiten in der Elementarzelle, M das Molekulargewicht in Gramm, N die Losschmittsche Zahl und V0 das Volumen der Elementarzelle in Å3 = cm3 = 1024 bedeutet. Fast immer liefert die berechnete Röntgendichte höhere Werte als die an Realkristallen durch physikalische Methoden bestimmten Werte. 5)Ozeanographie: Meerwasserdichte. 6)Technik: In der geowissenschaftlichen Technik sind folgende Dichtetypen wichtig: Die Schüttdichte, z.B. von pulverförmigen keramischen Massen oder von kurzfaserigen Substanzen, ist die Masse eines bestimmten Volumens der in bestimmter Weise geschütteten Preßmasse. Die Preßdichte ist die Masse der Volumeneinheit eines Pulvers nach Anwendung eines bestimmten Preßdruckes. Die Reindichte ist die auf das Volumen des Festkörpers allein bezogenen Dichte eines porösen, körnigen oder faserigen Stoffes, während die Rohdichte sich auf das Volumen der gesamten Stoffmenge einschließlich der Zwischenräume, i.a. Poren, bezieht. Die Fülldichte ist die Masse der Volumeneinheit von lose eingefüllten pulverigen Substanzen, z.B. Sanden, Tonen oder Pigmenten. Die Klopfdichte ist die Masse der Volumeneinheit eines durch Klopfen möglichst dicht gelagerten Pulvers. Unter Stopfdichte versteht man die Masse von langfaserigen oder schnitzelförmigen Massen eines bestimmten Volumens der in bestimmter Weise verdichteten Preßmasse. Die Teilchendichte ist die Rohdichte eines einzelnen Partikels, die bei porenfreien Teilchen der Reindichte des entsprechenden kompakten Feststoffes entspricht.
Wenn Sie inhaltliche Anmerkungen zu diesem Artikel haben, können Sie die Redaktion per E-Mail informieren. Wir lesen Ihre Zuschrift, bitten jedoch um Verständnis, dass wir nicht jede beantworten können.