Lexikon der Geowissenschaften: Einschwingverfahren
Einschwingverfahren, Oszillationstest, Verfahren, das zur Bestimmung der TransmissivitätT eines Grundwasserleiters in einem Brunnen oder einer Grundwassermeßstelle dient. Das Einschwingverfahren ist ein Sonderfall des Slug-Tests, bei dem der ausgelenkte Grundwasserspiegel nicht gleich wieder auf sein Ausgangsniveau zurück geht, sondern einen Schwingungsverlauf um dieses Niveau herum zeigt. Zur Auslenkung des Grundwasserspiegels wird z.B. mit Hilfe eines Packers Luft von einem Kompressor in den Brunnen gepreßt, und zwar soviel, bis der Grundwasserspiegel um ca. 50 cm gesunken ist. Hierauf wird der Druck schlagartig durch das Öffnen eines Ventils abgebaut und das Grundwasser beginnt wieder anzusteigen ( Abb. 1 ). Dies geht bei geringen hydraulischen Durchlässigkeiten so vor sich, daß sich die durch den Druck aufgebaute Absenkung wieder exponentiell gegen Null nähert. Bei hohen Durchlässigkeiten kommt es dagegen durch eine schnelle Ausgleichsbewegung zu einer gedämpften harmonischen Schwingung um den Ruhewasserspiegel, bis sich dieser nach einiger Zeit wieder eingestellt hat ( Abb. 2 ).
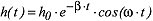
Trägt man die gemessenen Wasserspiegelschwankungen gegen die Zeit auf, so erhält man eine Kurve, die die Form einer harmonischen, exponentiell gedämpften Schwingung hat, mit der Schwingungsgleichung:
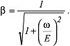
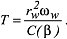
(h = Amplitude zum Zeitpunkt t; h0= Amplitude zum Zeitpunkt t = 0). Die Schwingung ist durch zwei Parameter charakterisiert, die Eigen- oder Resonanzfrequenz ω und den Dämpfungskoeffizient β, der die Anzahl der Schwingungsperioden, bis sich der Ruhewasserstand wieder eingestellt hat, bestimmt. Je größer er ist, desto schneller wird die Schwingung gedämpft. Für β > 1 ist die Schwingung praktisch nach einer Periode schon auf Null gedämpft, d.h. der Grundwasserspiegel stellt sich ohne Schwingung exponentiell wieder auf den Nullpunkt ein. Dies entspricht dem herkömmlichen Slug-Test. Erst für β 1 kommt es zu einer merklichen Schwingung von mehr als einer Periode um den Ruhewasserspiegel, und man kann von einem Einschwingen sprechen. Werte von β 1 treten i.d.R. ab Transmissivitäten von T > 10-3 m2/s auf. Die Auswertung eines Einschwingversuchs kann z.B. mit der Methode von Krauss (1977) durchgeführt werden. Sie hat allerdings den Nachteil, daß zur Berechnung der Transmissivität der Speicherkoeffizient S bereits bekannt sein oder abgeschätzt werden muß. Nach Krauss berechnet sich die Transmissivität aus den Schwingungsparametern:
Dabei ist rw der wirksame Brunnenradius, ωw die Eigenfrequenz des Brunnens, die sich aus der Eigenfrequenz der Schwingung ω und dem Dämpfungskoeffizienten β berechnet:
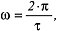
und C(β) ein von β und dem Speicherkoeffizienten S abhängiger Korrekturwert, der aus einem Diagramm abgelesen wird. Die zur Berechnung nötigen Schwingungsparameter ω und β werden graphisch bestimmt. Man trägt dazu die auf h0 normierten Amplituden halblogarithmisch gegen die Zeit auf, also lgh/h0 gegen t. Die Eigenfrequenz ω berechnet sich aus:
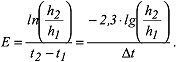
wobei τ die mittlere Schwingungsdauer ist, die sich aus dem Verhältnis von gesamter Zeitdauer (tn) zu Anzahl der Perioden n errechnet. tn und n werden aus dem Diagramm abgelesen. Der Dämpfungskoeffizient β beträgt:

E ist die sog. Abklingkonstante. Sie wird aus einem Diagramm bestimmt. Es gilt:

Für eine logarithmische Dekade gilt:

Das Einschwingverfahren hat gegenüber dem Pumpversuch den großen Vorteil, daß er mit geringem zeitlichen, personellen und materiellen Aufwand durchgeführt werden kann, daß keine nennenswerte Absenkung in der Umgebung des Brunnen auftritt, die z.B. Brunnen in der Nähe stören oder das Eindringen von Schadstoffen begünstigen könnte, und daß kein evtl. kontaminiertes Wasser entsorgt werden muß. Dafür sind die Ergebnisse nur für das direkte Brunnenumfeld gültig, können jedoch durch die Bauweise des Brunnens verfälscht werden und erfassen Inhomogenitäten schlechter als bei einem Pumpversuch. [WB]
Literatur: DAWSON, K.J. & ISTOK, J.D. (1991): Aquifer Testing. Design and Analysis of Pumping and Slug Tests. – Chelsea.
Einschwingverfahren 1: Grundwasserspiegel zu Beginn des Einschwingversuches; ht = Amplitude zum Zeitpunkt t, h0 = Amplitude zum Zeitpunkt t = 0, rw = wirksamer Brunnenradius. Einschwingverfahren 1:

Einschwingverfahren 2: gedämpft harmonische Schwingung des Grundwasserspiegels um seine Ruhelage beim Einschwingversuch (ht = Amplitude zum Zeitpunkt t; h0 = Amplitude zum Zeitpunkt t = 0, ω = Eigenfrequenz, n = Anzahl der Perioden, τ = mittlere Schwingungsdauer).

Wenn Sie inhaltliche Anmerkungen zu diesem Artikel haben, können Sie die Redaktion per E-Mail informieren. Wir lesen Ihre Zuschrift, bitten jedoch um Verständnis, dass wir nicht jede beantworten können.