Lexikon der Geowissenschaften: Gleichstromgeoelektrik
Gleichstromgeoelektrik, eines der klassischen Verfahren der Angewandten Geophysik, das sich Anfang des Jahrhunderts aus dem Eigenpotential-Verfahren etwa zeitgleich in Nordamerika und Europa entwickelte. Auf F. Wenner (1916) geht die Idee der Verwendung einer 4-Punkt-Anordnung zur Bestimmung eines (scheinbaren) spezifischen elektrischen Widerstands zurück. J.N.W. Hummel berechnete 1929 Kurven des scheinbaren spezifischen Widerstands für geschichtete Halbräume. C. Schlumberger setzte die Methode bei geoelektrischen Messungen in Bohrungen ein (1927) und entwickelte die nach ihm benannte Variante der 4-Punkt-Anordnung ( Abb. 1 ). Lag das ursprüngliche Anwendungsgebiet der Gleichstromgeoelektrik in der Erkundung von Erzlagerstätten, wird sie heute v.a. bei hydrogeologischen, archäologischen und insbesondere auch umweltrelevanten Fragestellungen eingesetzt. Aus der klassischen Gleichstromgeoelektrik zur Tiefensondierung und Kartierung des spezifischen Widerstands entstand durch Verfeinerung der Meßtechnik und Einbeziehung weiterer physikalischer Parameter ein ganzes Spektrum von Verfahren, wobei die induzierte Polarisation ein besonderes Gewicht erlangt hat ( Abb. 2 u. 3 ).
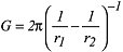
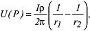
Das zugrundeliegende Prinzip besteht auf der Tatsache, daß über zwei Elektroden A und B ein elektrischer Strom I in den Erdboden eingespeist und der daraus resultierende Spannungsabfall ΔU, z.B. an der Erdoberfläche oder im Bohrloch, gemessen wird. Bei Annahme eines homogenen und isotropen Halbraums mit dem spezifischen Widerstand (Resistivität) ρ erhält man aus der Gleichstrom-Grundgleichung das elektrische Potential U(P) im Aufpunkt P zu:
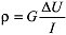
r1 und r2 sind dabei die Abstände von P zu den Elektroden A und B. Mißt man den Spannungsabfall ΔU ebenfalls zwischen den Elektroden A und B (sog. 2-Punkt-Anordnung) erhält man aus dem Quotienten R = ΔU/I (Ohmscher Gesamtwiderstand zwischen A und B) den spezifischen Widerstand des Untergrunds:
mit
als Geometriefaktor oder Konfigurationsfaktor. Das sich im Untergrund ausbreitende Stromsystem ist dabei skaleninvariant, d.h. mit einer Erhöhung des Elektrodenabstands erreicht das Stromsystem immer größere Tiefen, womit eine Tiefensondierung möglich wird. Der Anteil If des eingespeisten Stroms I, der oberhalb einer Tiefe z fließt, berechnet sich aus:
Damit fließen 50% des Gesamtstromes I im Bereich zwischen der Erdoberfläche und der Tiefe z = L/2 = ![]()
![]()
/2 ( Abb. 5 ).
Aufgrund der unvermeidlichen Übergangswiderstände an den Elektroden ergibt eine Spannungsmessung in der 2-Punkt-Anordnung nur ein verfälschtes Bild; dies wird umgangen durch Realisierung eines separaten Kreises für die Messung von ΔU mittels eines Voltmeters mit hohem Eingangswiderstand, das an unpolarisierbare Sonden M und N angeschlossen wird. Als Geometriefaktor dieser 4-Punkt-Anordnung erhält man:
Im Falle eines inhomogenen (geschichteten und/oder lateral variablen) und/oder anisotropen Untergrunds ergibt sich aus der zweiten Formel lediglich ein scheinbarer spezifischer Widerstand ρa als Funktion der Abstände r1 bis r4.
Die 4-Punkt-Anordnung wird mit einer Vielzahl von Konfigurationen realisiert, die jeweils spezifische Vor- und Nachteile bezüglich der praktischen Durchführbarkeit und des Signal-Rausch-Verhältnisses haben. Gebräuchliche Konfigurationen in der geoelektrischen Tiefensondierung (Vertical Electrical Sounding, VES) sind die Wenner- und die Schlumberger-Anordnung, wobei die Wenner-Anordnung wegen des vergleichsweise größeren Potentialsondenabstands ein besseres Signal-Rauschverhältnis aufweist. In dieser Aufstellung wird der scheinbare spezifische Widerstand ρa(a) als Funktion des Abstandes a = ![]()
![]()
= ![]()
![]()
= ![]()
![]()
doppelt-logarithmisch aufgetragen. Für eine Tiefensondierung wird der Abstand a schrittweise vergrößert. Dies bedeutet jeweils ein Umsetzen des gesamten Arrays. Eine Schlumberger-Sondierung, hier trägt man ρa als Funktion der halben Auslagenweite L/2 = ![]()
![]()
/2 ebenfalls doppelt-logarithmisch auf, erfordert dagegen nur ein gelegentliches Umsetzen der Potentialsonden (wenn die Größe des Spannungsabfalls unter die Meßgenauigkeit der Apparatur fällt), ist also weniger aufwendig. Allerdings kommt es bei einem Sondenversatz häufig zu einem Sprung in der scheinbaren Widerstandskurve aufgrund oberflächennaher Leitfähigkeitsanomalien (vergleichbar dem static shift in der Magnetotellurik), der schwer zu kontrollieren und meist nur mit ad-hoc-Annahmen zu korrigieren ist, etwa daß die Werte bei einer langen Auslage "richtiger" seien als bei einer kurzen Auslagenweite a = ![]()
![]()
. Dieser Versatz tritt auch in der Wenner-Anordnung auf, ist hier jedoch schwerer vom Einfluß des ebenfalls geänderten Stromelektrodenabstands zu trennen. Bei sehr kleinen Auslagenweiten stimmen die einfachen Formeln für die Geometriefaktoren nicht mehr, da die endliche Größe der Elektroden berücksichtigt werden muß. Die Vergrößerung der Auslage ![]()
![]()
erfolgt vorzugsweise logarithmisch äquidistant (z.B. 8 Punkte/Dekade), um eine Interpolation für die spätere Modellrechnung zu umgehen.
Die Gültigkeit der Annahme eines eben geschichteten Untergrunds ist aus den ρa-Kurven von Tiefensondierungen oft nicht zu erschließen. Daher sollte mindestens eine Kreuzsondierung, bei der die gesamte Auslage um 90° um den Mittelpunkt geschwenkt wird, durchgeführt werden. Eine Erweiterung stellt die allerdings sehr aufwendige Kreissondierung dar, die u.a. erlaubt, Einfallrichtungen geneigter Schichten zu erfassen; hierbei wird die Auslage um einen festen Winkel rotiert.
Die Kartierung lateraler Leitfähigkeitskontraste erfolgt meist mit Pol-Dipol-, Dipol-Dipol- oder auch Pol-Pol-Anordnungen ( Abb. 4 ). In Bohrungen werden spezielle Varianten eingesetzt (geoelektrische Bohrlochverfahren). Man erhält scheinbare spezifische Widerstände ρa(r) als Funktion der Ortskoordinate r; dabei bezieht man sich stets auf den Mittelpunkt der Sondenstrecke ![]()
![]()
/2, deren Länge entsprechend der gewünschten Tiefenaussage gewählt werden muß. Stand der Technik sind heute jedoch Multi-Elektrodenanordnungen, womit eine simultane Tiefensondierung und Kartierung (Sondierungskartierung) erreicht wird. Die Ansteuerung der bis zu 256 Elektroden verläuft dabei mikrocomputergesteuert.
Je nach geologischer Fragestellung und Leistungsfähigkeit des Senderteils einer Geoelektrikapparatur werden bei Tiefensondierungen Auslagenweiten L = ![]()
![]()
von bis zu einigen km erreicht, was maximalen Aussagetiefen von etwa 1 km entspricht. Als Signalform wird entweder ein gepulster Gleichstrom ( Abb. 6 ) oder ein Wechselstrom niedriger Frequenz (etwa 0,1-1 Hz) verwendet, um Polarisationseffekte zu vermeiden. Die an den Einspeiseelektroden (üblicherweise Stahlspieße) anliegende Spannung liegt meist im Bereich von einigen Hundert V bis hin zu einigen kV, womit man je nach Übergangs- und Untergrundwiderstand eine Stromstärke von einigen mA bis zu vielen Hundert mA erreicht. Spezielle Apparaturen ermöglichen Stromstärken bis zu 20 A ("Strombooster"); damit werden auch Dipol-Dipol-Sondierungen über größere Entfernungen möglich. Die Übergangswiderstände sollten einige kΩ nicht übersteigen, sie können jedoch z.B. in ariden Gebieten erheblich größer sein; man behilft sich mit Elektrodenbündelungen oder auch Wässerung zur Erhöhung der Ankopplung. Die an den Potentialsonden gemessenen Spannungen liegen üblicherweise nur bei einigen mV. Die Signalform ΔU(t) unterscheidet sich dabei oft von der Signalform I(t) des eingespeisten Stroms; dies wird auf Aufladungserscheinungen des Untergrundes zurückgeführt und ist Grundlage des Verfahrens der induzierten Polarisation.
Die Berechnung eines scheinbaren spezifischen Widerstands ρa(r) aus einer vorgegebenen Widerstandsverteilung ρ(x,y,z) in einer bestimmten Konfiguration ist nur für einfache geometrische Verhältnisse analytisch möglich. Für einen geschichteten Halbraum läßt sich ρa(L) über eine Hankeltransformation berechnen. Ergebnisse einer zwei- oder dreidimensionalen Vermessung werden häufig in Form von Pseudosektionen dargestellt, wobei der scheinbare spezifische Widerstand als Parameter in einem Diagramm mit der horizontalen Koordinate als x-(oder y-) Achse und der Auslagenweite als Ordinate positiv nach unten aufgetragen wird. Die Modellierung erfolgt meist mit Hilfe von Finite-Elemente- oder Finite-Differenzen-Verfahren.
Während früher zur Interpretation der Meßergebnisse auf den Abgleich mit Masterkurven bzw. auf sog. Hilfspunktverfahren zurückgegriffen wurde, geschieht die Datenaufnahme und Darstellung der Meßergebnisse (z.B. ρa-Kurven oder auch Pseudosektionen) heute mit einem tragbaren oder in das Meßgerät eingebauten Kleincomputer; die Leistungsfähigkeit moderner PC erlaubt oft schon eine Modellrechnung oder Inversion der Daten im Gelände.
Bei der Interpretation muß eine mögliche Vieldeutigkeit in Betracht gezogen werden (Äquivalenzprinzip, Schichtunterdrückung). Eine weitere Erschwernis stellt ein anisotroper Untergrund dar: Bei horizontaler Schichtung bewirkt ein unterschiedlicher spezifischer Widerstand in horizontaler bzw. vertikaler Richtung (elektrische Anisotropie) eine Überschätzung der Schichtmächtigkeiten, was nur über eine Heranziehung anderer Methoden, z.B. von Induktionsverfahren, erkannt und korrigiert werden kann. Wie stets sollten grundsätzlich verschiedene Verfahren zur Anwendung kommen, um die Sicherheit der Interpretation so hoch wie möglich zu machen. [HBr]
Gleichstromgeoelektrik 1: a) Ersatzschaltbild für die 2- und 4-Punkt-Anordnung. RA und RB sind die Übergangswiderstände an den Elektroden A und B, RE ist der Ohmsche Widerstand des Untergrunds. Darunter sind die geometrischen Verhältnisse in einer 4-Punkt-Anordnung dargestellt (M, N = Sonden zur Messung des Spannungsabfalls). b) gebräuchliche 4-Punkt-Anordnungen in der Gleichstromgeoelelektrik (a = jeweiliger Elektrodenabstand). c) geoelektrische Masterkurven für den 2-Schichtfall in der Schlumberger-Anordnung (Abszisse: halber Elektrodenabstand L/2 normiert auf Dicke d1 der Deckschicht, Ordinate: scheinbarer spezifischer Widerstand ρa normiert auf den spezifischen Widerstand ρ1 der Deckschicht). Als Parameter ist das Verhältnis ρ2/ρ1 (ρ2 = spezifischer Widerstand des Substrats) an den Kurven aufgetragen. Gleichstromgeoelektrik 1:

Gleichstromgeoelektrik 2: Beispiel einer geoelektrischen Tiefensondierung mit Angabe des Bereichs äquivalenter Modelle, die innerhalb einer vorgegebenen Anpassungsfehlergrenze (hier 4%) die Daten ebenso gut erklären wie das beste Modell (L = Elektrodenabstand, ρa = scheinbarer spezifischer Widerstand, ρ = spezifischer Widerstand). Gleichstromgeoelektrik 2:

Gleichstromgeoelektrik 3: Kurvenformen geoelektrischer Tiefensondierungen bei einem 3-Schichtfall. H = gutleitende 2. Schicht (Minimumtyp) mit ρ1 > ρ2 ρ3, K = schlechtleitende 2. Schicht (Maximumtyp) mit ρ1 ρ2 > ρ3, A = ρ1 ρ2 ρ3, Q = ρ1 > ρ2 > ρ3, L = Elektrodenabstand, ρa = scheinbarer spezifischer Widerstand.

Gleichstromgeoelektrik 4: Pol-Dipol-Kartierung mit Sondenabstand 12,5 m bzw. 25,0 m an der Böhmischen Scherzone in Rittsteig (Böhmischer Wald). Das Minimum in den ρa-Kurven (ρa = scheinbarer spezifischer Widerstand) bildet eine nach Nordosten einfallende, graphitisierte Störungszone ab. Gleichstromgeoelektrik 4:

Gleichstromgeoelektrik 5: Verteilung des Stromes mit der Tiefe für Elektrodenauslagen von L = 100 m und L = 1000 m für einen homogenen Halbraum. Oberhalb der Tiefe z = L/2 (grau schraffierte Bereiche) fließen jeweils 50% des Gesamtstroms. Gleichstromgeoelektrik 5:

Gleichstromgeoelektrik 6: schematischer zeitlicher Verlauf eines gepulsten Gleichstroms (oben) und Verlauf der Spannung an den Sonden M, N (unten). Durch Aufladungseffekte im Untergrund wird das Maximum erst nach einer gewissen Zeit erreicht.

Wenn Sie inhaltliche Anmerkungen zu diesem Artikel haben, können Sie die Redaktion per E-Mail informieren. Wir lesen Ihre Zuschrift, bitten jedoch um Verständnis, dass wir nicht jede beantworten können.