Lexikon der Geowissenschaften: induzierte Polarisation
induzierte Polarisation, IP, geoelektrisches Verfahren, mit dem die kapazitiven Eigenschaften (chargeability) bestimmter Gesteinsformationen untersucht werden. Es wird besonders erfolgreich bei der Exploration von sulfidischen Erzen, aber auch zur Detektion von Tonschichten im Untergrund angewandt und ist daher besonders für Aufgabenstellungen in der Umweltgeophysik interessant.
Die Ursachen des IP-Effekts liegen in einer Verengung oder Blockade des fluidgefüllten Porenraums von Gesteinen. Dabei wird zwischen Membran- und Elektrodenpolarisation unterschieden: Bei der insbesondere an Tonmineralen zu beobachtenden Membranpolarisation ( Abb. 3 ) führt, eine durch Anlegen eines äußeren elektrischen Feldes verursachte Porenraumverengung zusammen mit der elektrischen Doppelschicht (Grenzflächenleitfähigkeit), zu einer Ladungsanhäufung von Kationen und Anionen und damit zu einer Sperrwirkung. Dieser Effekt wird auch an Gesteinen mit Mikroklüftung beobachtet. Blockieren metallische Mineralkörner den Porenraum, kommt es ebenfalls zu einer Ladungsanhäufung auf beiden Seiten der Körner (Elektrodenpolarisation). Dieser Vorgang spielt insbesondere bei sulfidischen Erzlagerstätten eine wichtige Rolle. Eine Beschreibung mit Hilfe von Ersatzschaltkreisen (Darstellung der komplexen elektrischen Leitfähigkeit mit Hilfe von ohmschen und kapazitiven Widerständen) liefert das Cole-Cole-Modell.
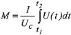
Der IP-Effekt läßt sich sowohl im Zeit- als auch im Frequenzbereich beobachten. Bei einer gleichstromgeoelektrischen Sondierung wird ein zeitlicher Verlauf der gemessenen Potentialdifferenz registriert, der dem Verlauf des eingespeisten alternierenden Gleichstroms (Folge von Rechteckfunktionen jeweils wechselnder Polarität) nicht genau folgt, sondern dem Maximalwert Uc asymptotisch zustrebt ( Abb. 1 ). Die Abkling- oder Anstiegskurve charakterisiert den IP-Effekt. Durch Messung der Spannung U(t) zu den Zeiten t1 und t2 (oder apparaturbedingt auch häufiger) erhält man eine Näherung für das Integral:

als Meßgröße. Bei Einspeisung eines Wechselstroms beobachtet man eine Frequenzabhängigkeit des Betrags des spezifischen Widerstands und eine Phasenverschiebung zwischen Strom und Spannung (spektrale induzierte Polarisation, SIP). Als Meßgröße wird z.B. die auf den scheinbaren spezifischen Wechselstromwiderstand ρAC normierte Differenz ρAC-ρDC, der Frequenzeffekt:
dargestellt, ρDC ist der (scheinbare) spezifische Gleichstromwiderstand, wobei man sich häufig mit zwei Messungen bei einer niedrigeren und einer höheren Frequenz als Annäherung an das AC- und DC-Verhalten (z.B. 10 und 0,1 Hz) begnügt. In der SIP werden dagegen Betrag und Phase über einen weiten Bereich dargestellt. Die Durchführung der Messungen kann mit allen aus der Gleichstromgeoelektrik bekannten Anordnungen erfolgen, wobei der elektromagnetischen Einstreuung bei größeren Auslagen besondere Aufmerksamkeit gewidmet werden muß ( Abb. 2 ). [HBr]
induzierte Polarisation 1: Verlauf der gemessenen Spannung in der induzierten Polarisation im Zeitbereich. Durch Messung der Spannung zu den Zeiten t1 und t2 erhält man einen Schätzwert für die Fläche A und damit die Chargeability (Uc = Maximalwert der Gleichspannung).

induzierte Polarisation 2: IP-Pseudosektion und Modell der Chargeability auf einer Schlackenhalde. Diese Halden bilden Krusten, die sehr hart werden und das Eindringen von Niederschlagswasser weitgehend verhindern können. Im vorliegenden Fall befindet man sich an der Grenze zwischen zwei Haldenbereichen, älter mit dicker Kruste links (A) und jünger mit dünner Kruste rechts (B). Es befindet sich hoher Metallgehalt in Kruste, daher hohe Chargeability. In der Mitte gibt es einen Grenzbereich ohne oder mit sehr dünner Kruste, an dem Niederschlagswasser eindringen kann (C). induzierte Polarisation 2:

induzierte Polarisation 3: Entstehung der Membranpolarisation (a) durch Verengung des Porenraumes und der Elektrodenpolarisation (b) durch ein den Elektrolyten blockierendes Metallkorn. induzierte Polarisation 3:

Wenn Sie inhaltliche Anmerkungen zu diesem Artikel haben, können Sie die Redaktion per E-Mail informieren. Wir lesen Ihre Zuschrift, bitten jedoch um Verständnis, dass wir nicht jede beantworten können.