Lexikon der Geowissenschaften: Kegelentwürfe
Kegelentwürfe, Kartennetzentwürfe, bei denen als Ergebnis geometrischer Prozesse ein Teil der Erdoberfläche auf einen Kegelmantel als Zwischenabbildungsfläche abgebildet wird. Diese können dann verzerrungsfrei in die Ebene (Abbildungsfläche) abgewickelt werden. Die Achse des Kegels kann mit der Erdachse unterschiedliche Winkel α einschließen (Kartennetzentwürfe). Beträgt der Winkel zwischen Kegelachse und Erdachse α = 0º, so entsteht ein Kegelentwurf in polarer oder normaler Lage, gelegentlich auch normale Abbildung genannt ( Abb. 1 ). Für den Fall eines rechten Winkels α = 90º zwischen Erd- und Kegelachse erhält man einen Kegelentwurf in äquatorialer, transversaler oder querständiger Lage. Im Bereich 0º α 90º entsteht ein Kegelentwurf in allgemeiner Lage, d.h. ein schiefachsiger Entwurf. Je nach dem Öffnungswinkel des Kegels und des Abstands seiner Spitze S vom Kugelmittelpunkt werden Berührungskegel ( Abb. 2 ), Schnittkegel ( Abb. 3 ) und gewissermaßen über der Kugel schwebende Kegel unterschieden. Es ist offensichtlich, daß abzubildende Gebiete in der Nähe des Berührungskreises oder der Schnittkreise nur geringe Verzerrungen aufweisen.
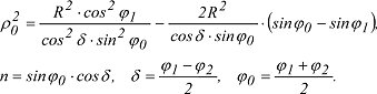
Je nach den Forderungen an die Eigenschaften eines Kegelentwurfs werden geeignete Abbildungsgleichungen aufgestellt. Die jeweiligen Verzerrungen werden nach den Beziehungen der Verzerrungstheorie aus den Abbildungsgleichungen des betreffenden Entwurfs berechnet. Bezüglich des Terminus Kegelentwürfe sei auf Abbildungsfläche verwiesen, wo der Öffnungswinkel des Kegels in den Grenzen von 0º (Zylinder) bis 180º (Ebene, azimutaler Kartennetzentwurf) liegen kann. In diesem Sinne kann man einen gemeinsamen Begriff überordnen. Um Verwechslungen mit den eigentlichen Kegelentwürfen zu vermeiden, bezeichnet man die Gesamtgruppe der Azimutal-, Kegel- und Zylinderentwürfe oft als kegelige Kartennetzentwürfe. Einen echten Kegelentwurf erkennt man an den geradlinigen Meridianbildern, die sich im Abbild S' der Kegelspitze schneiden und in besonderen Fällen mit dem Bild des Pols zusammenfallen, sowie an den Kreisbogenstücken als Abbilder der Parallelkreise, deren gemeinsamer Mittelpunkt S' ist. Im allgemeinen Fall ist auch das Bild des Pols ein Kreisbogenstück. Das Prinzip der Konstruktion eines Kegelentwurfs mit Berührungskegel ist in Abb. 2 (Schnitt durch die Kugel) und in Abb. 4 (Ausschnitt in der Kartenebene) gezeigt. Für die Größe des Öffnungswinkels des Kegels wird ein Proportionalitätsfaktor n im Bereich 0 > n>1 eingeführt. Die Grenzwerte n = 1 bzw. n = 0 führen auf einen Azimutalentwurf bzw. auf einen Zylinderentwurf. In Abb. 2 ist der Schnitt eines die Kugel in der Breite φ0 tangierenden Kegels mit der Spitze S dargestellt. Ein beliebiger Kugelpunkt P hat die geographischen Koordinaten φ und λ. Aus Abb. 2 liest man den Abstand zwischen S und dem Breitenkreis φ0 ab zu:
ρ0 = R·cotφ0. (1)
In der Kartenebene ( Abb. 4 ) wird P zu P' mit den Koordinaten ρ und ε oder X und Y. Zwischen den Größen λ und ε besteht der erwähnte Proportionalitätsfaktor n. Die Abbildungsgleichungen für echte Kegelentwürfe lauten in allgemeiner Form:
ρ = f(ρ0, φ0, φ), ε = n·λ (2)
oder in rechtwinkligen Koordinaten nach Abb. 4:
X = ρ0-ρ·cosε, Y = ρ·sinε. (3)
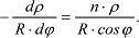
Je nach der Wahl der Funktion ρ = f(ρ0, φ0, φ) erhält man Kegelentwürfe mit unterschiedlichen Eigenschaften, die man entsprechend den vorgegebenen Bedingungen nach der Verzerrungstheorie festlegen kann. Offensichtlich werden der Berührungsparallelkreis ( Abb. 2 ) bzw. die Schnittparallelkreise ( Abb. 3 ) bei der Abwickelung des Kegels in die Ebene verzerrungsfrei abgebildet. Für die Längenverzerrung in den beiden Hauptrichtungen mm (im Meridian) und mp (im Parallelkreis) gilt allgemein nach Einführung differentieller Größen in die Abb. 2 und 4 sowie nach der Abbildung zur Loxodrome:
Die rechte Seite für mp ergibt sich aus der Differentiation der Gleichung (2). Setzt man für den Berührungsparallel in (5) ρ0 und φ0 ein, so ist wegen der erwähnten Längentreue:
und mit (1) für ρ0 gilt:
n = sinφ0. (6)
Der Verjüngungsfaktor n hängt also von der Breite des Berührungskreises ab. Da offensichtlich die Verzerrungen des Kartenbildes in der Nähe des Berührungsparalleles allgemein klein sind, wird man φ0 in die Mitte des abzubildenden Gebietes legen, insbesondere wenn dieses vornehmlich eine ausgesprochene Ost-West-Erstreckung hat. In der Folge sollen einige Kegelentwürfe mit ihren Abbildungsgleichungen, Verzerrungsformeln und Kartennetzbildern vorgestellt werden.
a) Kegelentwurf mit längentreuen Meridianen ( Abb. 5 ). Dieser Entwurf wurde bereits im Altertum von Ptolemäus im 2. Jahrhundert unserer Zeitrechnung angegeben. Die Abbildungsgleichungen des Entwurfs ergeben sich aus (2) und aus der Forderung nach längentreuer Abbildung der Meridiane:
ρ = ρ0+R·(φ0-φ), ε = n·λ (7)
mit R als Erdradius im Kartenmaßstab und ρ0 und φ im Bogenmaß. Die Verzerrungen lassen sich nach der Verzerrungstheorie berechnen.
Längenverzerrung der Meridiane:
mm = 1,
Längenverzerrung der Parallele und Flächenverzerrung:
Winkelverzerrung:
b) Schnittkegelentwurf mit längentreuen Meridianen. Dieser wahrscheinlich von de l'Isle (1745) angegebene Entwurf hat zwei längentreue Parallelkreisabbilder ( Abb. 3 ). Die Abbildungsgleichungen lauten nach den vorgegebenen Bedingungen:
ρ = ρ0+R·(φ0-φ), ε = n·λ. (8)
ρ0 hat hier im Gegensatz zum Ptolemäischen Entwurf keine anschauliche Bedeutung. Vielmehr folgt:
mit
Im Zähler sind φ0, φ1 und φ2 im Bogenmaß einzusetzen. Für den Proportionalitätsfaktor erhält man:
wo jetzt die Größen im Nenner im Bogenmaß stehen.
c) Flächentreuer Kegelentwurf ( Abb. 6 ), von J. H. Lambert 1772 erstmals verwendet. Nach der Verzerrungstheorie muß das Produkt aus Längenverzerrung im Meridian mm und im Parallelkreis mp gleich 1 sein (Gleichungen (4) und (5)):
Die Trennung der Variablen ergibt die Differentialgleichung:
Nach allgemeiner Integration erhält man: ![]()
und für den Berührungsparallel φ0 entsprechend:
Die Subtraktion dieser Gleichung von der vorigen ergibt eine Beziehung für ρ. Damit sind die vollständigen Abbildungsgleichungen für den Lambertschen flächentreuen Kegelentwurf:
mit den charakterisierenden Hilfsgrößen ρ0 = R·cotφ0 und n = sinφ0. Zur Berechnung der Verzerrungen erhält man:

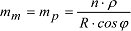
d) Flächentreuer Schnittkegelentwurf ( Abb. 7 ), von H.C. Albers 1805 eingeführt. Die Längenverzerrungen der Bilder der Meridiane und Parallelkreise sind kleiner als beim vorher behandelten Lambertschen Entwurf. Diesen Vorteil erreichte Albers durch Verwendung zweier längentreuer Parallelkreise ( Abb. 3 ), also eines Schnittkegels. In Abb. 7 sind die Parallelkreise φ1 = 35º und φ2 = 65º verwendet worden. Die Abbildungsgleichungen unterscheiden sich nicht von den in den Gleichungen (9) genannten, aber die charakterisierenden Konstanten sind wesentlich komplizierter zu berechnen:

Vergleicht man die Verzerrungswerte mm und mp für die flächentreuen Kegelentwürfe von Lambert und Albers, so sieht man deutlich den Vorteil des Schnittkegels bei Albers. Der Vorteil des Schnittkegels zeigt sich auch in den Verzerrungsellipsen, die in Abb. 8 für den Albers-Entwurf dargestellt sind und vom Nordpol bis zum Äquator nahezu kreisförmig sind, was auch zu kleineren Winkelverzerrungen gegenüber dem Lambert-Kegelentwurf führt. Diese günstigen Eigenschaften führen dazu, daß der von Albers angegebene flächentreue Schnittkegelentwurf in Atlaswerken weithin angewendet wird.
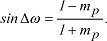
e) Winkeltreuer Kegelentwurf ( Abb. 9 ), von J.H. Lambert 1772 erstmals verwendet. Die Winkeltreue bzw. Konformität wird erreicht, wenn die Längenverzerrungen mα von einem bestimmten Punkt aus in allen Richtungen gleich groß sind. Damit gilt auch mm = mp (Verzerrungstheorie). Für Kegelentwürfe mit Berührungskegel bedeutet das mit den Gleichungen (4) und (5):
Durch Trennung der Variablen, Integration und Festlegung der Integrationskonstanten erhält man die Abbildungsgleichungen des Kartennetzes:

worin ρ0 = R·cotφ0 und n = sinφ0 ist.
Die Verzerrungen sind:
und
Verzerrungswerte sind in der Tabelle wiedergegeben. Bonnes unechter Kegelentwurf, polykonischer Entwurf. [KGS]
Kegelentwürfe 1: Prinzip der Kegelentwürfe. Kegelentwürfe 1:

Kegelentwürfe 2: Berührungskegel als Zwischenabbildungsfläche. Kegelentwürfe 2:

Kegelentwürfe 3: Schnittkegel als Zwischenabbildungsfläche. Kegelentwürfe 3:

Kegelentwürfe 4: in die Abbildungsebene abgewickelter Berührungskegel. Kegelentwürfe 4:

Kegelentwürfe 5: Ptolemäischer Kegelentwurf (φ = 50º). Kegelentwürfe 5:

Kegelentwürfe 6: Lamberts flächentreuer Kegelentwurf (φ = 50º). Kegelentwürfe 6:

Kegelentwürfe 7: Albers' flächentreuer Schnittkegelentwurf. Kegelentwürfe 7:

Kegelentwürfe 8: Verzerrungsellipsen für Albers' flächentreuen Schnittkegelentwurf zwischen Nordpol und Äquator.

Kegelentwürfe 9: Lamberts winkeltreuer Kegelentwurf (φ = 50º). Kegelentwürfe 9:

Kegelentwürfe (Tab.): Verzerrungen bei Kegelentwürfen nach F. Fiala. Kegelentwürfe (Tab.):

Wenn Sie inhaltliche Anmerkungen zu diesem Artikel haben, können Sie die Redaktion per E-Mail informieren. Wir lesen Ihre Zuschrift, bitten jedoch um Verständnis, dass wir nicht jede beantworten können.