Lexikon der Geowissenschaften: Slug-Test
Slug-Test, Slug-Injection-Test, Slug-Withdrawl-Test, hydrogeologische Geländemethode zur Bestimmung der Transmissivität T und des Speicherkoeffizienten S eines Grundwasserleiters in einem Brunnen bzw. einer Grundwassermeßstelle. Bei einem Slug-Test wird eine kleine Menge Wasser (ein „Schluck”=engl. slug) aus dem Brunnen entnommen und die Einstellung des Ausgangswasserspiegels beobachtet, oder eine kleine Wassermenge eingespeist und das Absinken zum Ausgangswasserspiegel beobachtet. Die zweite Art wird auch als Bail-Test bezeichnet. Alternativ dazu kann die schlagartige Änderung des Wasserspiegels auch durch Einbringen bzw. Entnahme eines Verdrängungskörpers erfolgen. Der Wasserspiegel sollte sich in beiden Fällen um einen Betrag von 10-50 cm ändern, um eine sinnvolle Auswertung zu ermöglichen. Das Absinken bzw. der Wiederanstieg im Brunnen wird je nach Transmissivität von Hand oder mit einem Aufzeichnungsgerät (z.B. Drucksonde) gemessen. Ab einer Transmissivität von ca. 3·10-3 m2/s ist eine Messung von Hand praktisch nicht mehr möglich. Der Slug-Test hat gegenüber Pumpversuchen den großen Vorteil, daß er mit geringem zeitlichen, personellen und materiellen Aufwand durchgeführt werden kann, daß keine nennenswerte Absenkung in der Umgebung des Brunnens auftritt, die z.B. Brunnen in der Nähe stören oder das Eindringen von Schadstoffen begünstigen könnten, und daß kein evtl. kontaminiertes Wasser entsorgt werden muß. Dafür sind die Ergebnisse nur für das direkte Brunnenumfeld gültig, können durch die Bauweise des Brunnens verfälscht werden und erfassen Inhomogenitäten schlechter als bei einem Pumpversuch. Führt die schlagartige Auslenkung des Grundwasserspiegels im Brunnen zu einer Schwingung des Grundwassersystems, so muß der Versuch als Einschwingverfahren ausgewertet werden. Dies ist in der Regel bei Transmissivitäten T > 10-3 m2/s der Fall.
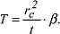
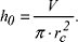
Die Auswertung eines Slug-Tests erfolgt wie bei der Pumpversuchsauswertung getrennt nach Grundwasserleitertypen und Strömungsbedingungen. Im Folgenden wird ein Auswerteverfahren für gespannte Grundwasserleiter und instationäre Strömungsbedingungen nach Cooper et al. (1967) vorgestellt. Die Entnahme oder Eingabe eines kleinen Volumens V an Wasser in einen Brunnen mit dem Radius rc bedingt eine schlagartige Änderung des Grundwasserspiegels h0 ( Abb.):
Danach sinkt bzw. steigt der Grundwasserspiegel wieder auf seinen ursprüngliche Höhe. Die dabei verbleibende Änderung des Wasserspiegels ht beträgt:
ht=h0·F(α,β).
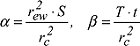
F(α,β) ist eine mathematisch komplizierte Funktion, ähnlich den Brunnenfunktionen für die Auswertung der instationären Pumpversuche, die von den Parametern α und β abhängig ist:
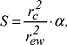
mit rc=Radius des unverfilterten Teils des Brunnens, in dem Absenkung/Anstieg gemessen wird, rew=Radius des verfilterten Brunnenabschnitts. Ist rc=rew, so ist α=S. Zur Auswertung benutzt man eine Typkurvenschar, in der F(α,β) gegen lgβ für verschiedene Werte von lgα aufgetragen ist. Für die Datenkurve wird dann ht/h0 (ht gemessen, h0 berechnet) gegen lgt im gleichen Maßstab auf Transparentpapier aufgetragen. Dann wird die Datenkurve mit der am besten passenden Typkurve durch achsenparalleles Verschieben zur Deckung gebracht. Nun wird ein match point bestimmt und für diesen die Werte β und t bestimmt, sowie das α der gewählten Kurve abgelesen. S und T werden dann mit den bekannten Brunnenradien durch Umstellen der obigen Gleichungen berechnet:
[WB]
Literatur: [1] Cooper, H.H., Bredehoeft, J.D. & Papadopulos, I.S. (1967): Response of a finite-diameter well to an instantaneous charge of water. – Water Resources Res., Vol. 3: 263-269. [2] Dawson, K.J. & Istok, J.D. (1991): Aquifer Testing. Design and Analysis of Pumping and Slug Tests. – Chelsea. [3] Krusemann, G.P., De Ridder, N.A. (1990): Analysis and evaluation of pumping test data. – Int. Inst. F. Land Reclamation and Improvement Wageningen, Publication 47. Wageningen.
Slug-Test: Verhalten eines Grundwasserleiters bei der Durchführung eines Slug-Testes (rc=Radius des unverfilterten Teils des Brunnens, in dem Absenkung/Anstieg gemessen wird, rew=Radius des verfilterten Brunnenabschnitts, h0=schlagartige Änderung des Grundwasserspiegels, ht=verbleibende Änderung des Wasserspiegels). Slug-Test:

Wenn Sie inhaltliche Anmerkungen zu diesem Artikel haben, können Sie die Redaktion per E-Mail informieren. Wir lesen Ihre Zuschrift, bitten jedoch um Verständnis, dass wir nicht jede beantworten können.